您当前的浏览器版本过低,请您升级浏览器
为了更好的使用优志愿产品,点击下载

谷歌浏览器

360极速浏览器

360安全浏览器

QQ浏览器

火狐浏览器

全国服务热线:400-181-5008
祝广大考生金榜题名
开通VIP

收藏

分享

海口经济学院2026年高职分类招生职业本科对口单独招生录取名单公示

| 来源:海口经济学院 1710

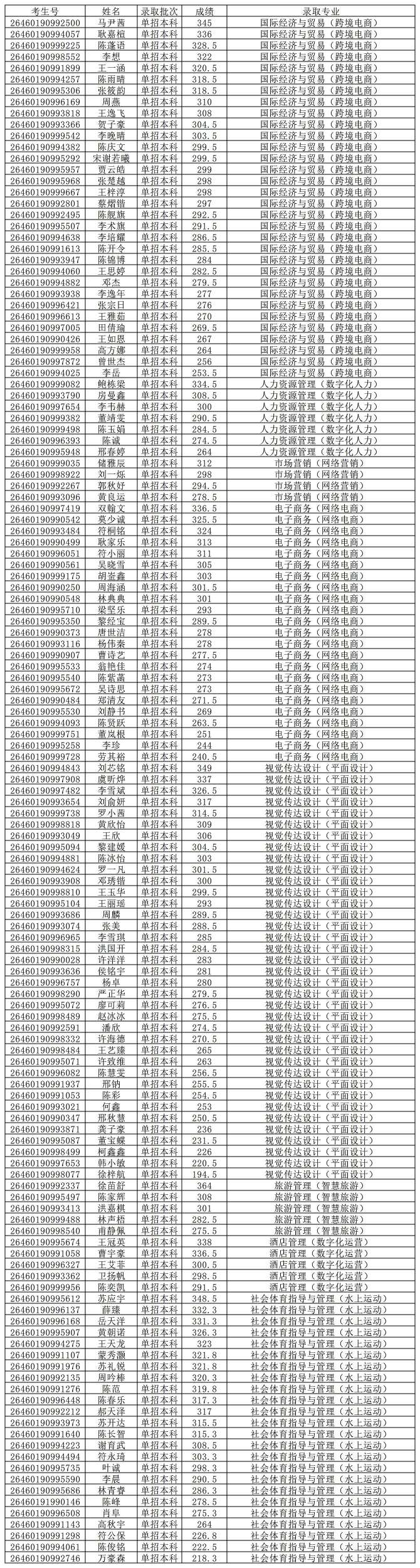
我校单招本科批次录取工作已结束,根据省考试局投档结果现公示录取名单。

评论
说点什么吧
发布

手机扫一扫下载APP

400-181-5008

优志愿将竭力为您提供帮助

(免长话费 )

教APP备3100148号