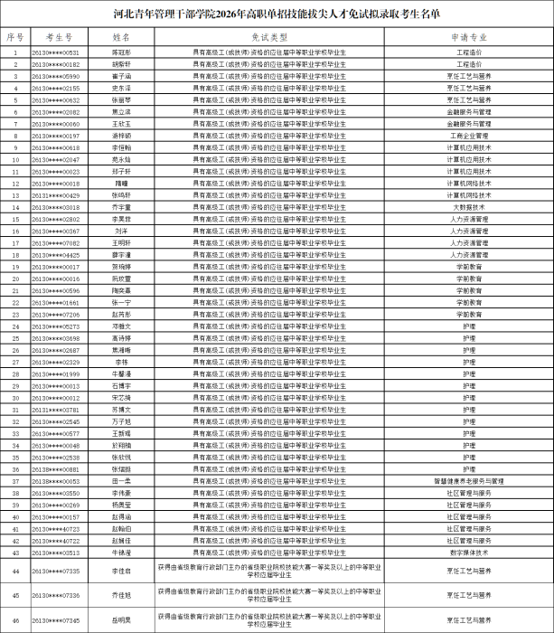
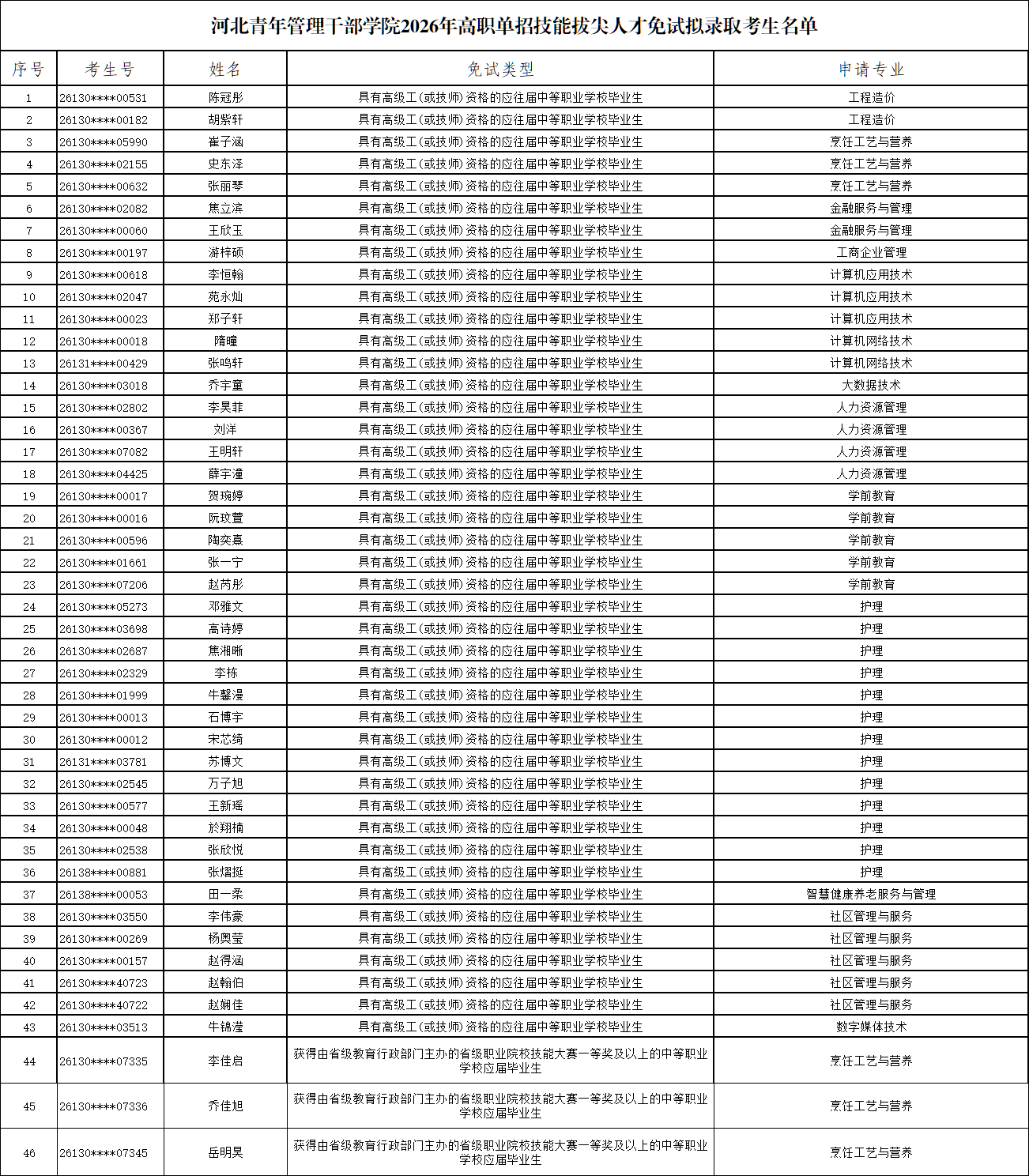
根据河北省教育厅《关于做好2026年普通高等职业教育单独考试招生工作的通知》(冀教学〔2025〕6号)及河北省教育考试院印发的《2026年河北省普通高等职业教育单独考试招生工作实施办法》相关规定,现将申报我院2026年高职单招技能拔尖人才免试入学拟录取考生名单予以公示。
公示时间:2026年2月26日—3月4日
如对公示内容有异议,请在公示期内以书面形式将具体说明发送至受理邮箱。公示期满后,如无异议,按要求报送河北省教育考试院备案。
受理邮箱:277092521@qq.com
监督电话:0311-87251616(招生就业处)
0311-87251621(纪委办公室)
附件:2026年高职单招技能拔尖人才免试拟录取考生名单
河北青年管理干部学院
2026年2月26日
高招云直播
