您当前的浏览器版本过低,请您升级浏览器
为了更好的使用优志愿产品,点击下载

谷歌浏览器

360极速浏览器

360安全浏览器

QQ浏览器

火狐浏览器

全国服务热线:400-181-5008
祝广大考生金榜题名
开通VIP

收藏

分享

量质齐升!!成都锦城学院2025年本科招生录取工作圆满收官!

| 来源:成都锦城学院 1721

固定布局

工具条上设置固定宽高,

背景可以设置被包含,可以完美对齐背景图和文字,

以及用于模板制作。

7月12日,成都锦城学院本科招生录取工作正式启动。今日,随着新疆录取结束,最后一批本科录取通知书发出,我校2025年本科招生录取工作圆满收官!本年度我校面向全国26个省(区、市)共招生7000人,面向四川省招生5242人。在优质本科扩容的背景下,考生报考我校意愿持续高涨,学校本科生源数量和质量实现同步跃升。

为便于广大考生、家长及时了解我校招生录取状态,我校2025年各省各批次录取结果将在官方公众号锦城招生发布。

截至8月7日,我校已完成贵州、甘肃、河北、陕西、海南、广西、四川、吉林、福建、河南、辽宁重庆、湖北、云南、浙江、黑龙江、安徽、广东、山东、江西、山西艺术体育类本科,吉林、四川对口、江苏、陕西、广东、广西、浙江、辽宁、甘肃、湖南、重庆、江西、云南、河北、贵州、海南、山东、黑龙江、湖北、内蒙古、河南、福建、青海、四川、安徽、新疆、山西普通类本科的录取。相关录取信息已公布,请广大考生及时查询。录取通知书已全部发出!

普通类

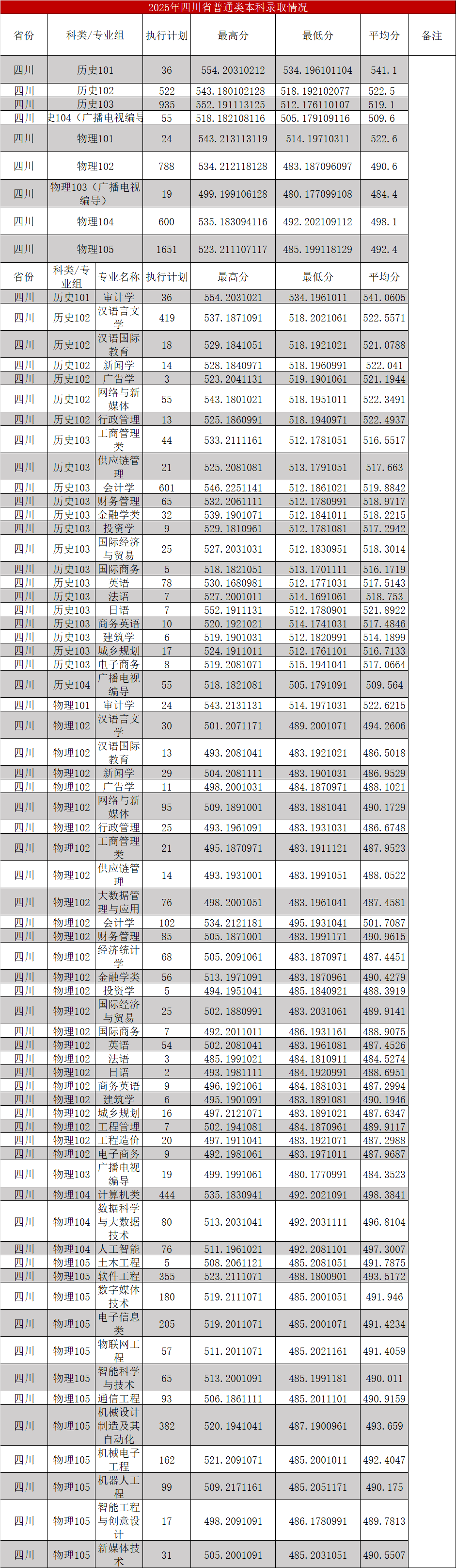
四川省普通类录取情况

重庆市普通类录取情况

福建省普通类录取情况

甘肃省普通类录取情况

广东省普通类录取情况

广西普通类录取情况

贵州省普通类录取情况

海南省普通类录取情况

河北省普通类录取情况

河南省普通类录取情况

黑龙江省普通类录取情况

湖北省普通类录取情况

江西省普通类录取情况

青海省普通类录取情况

山东省普通类录取情况

云南省普通类录取情况

安徽省普通类录取情况

内蒙古普通类录取情况

陕西省普通类录取情况

辽宁省普通类录取情况

湖南省普通类录取情况

江苏省普通类录取情况

浙江省普通类录取情况

吉林省普通类录取情况

四川省对口招生类录取情况

山西省普通类录取情况

新疆普通类录取情况

艺术类

广东省艺术类录取情况

综合成绩=文化成绩*50%+省统考成绩*2.5*50%

河南省艺术类录取情况

综合成绩=高考文化总成绩×50%+专业省级统考成绩÷300×750×50%

江西省艺术类录取情况

综合成绩= 文化总成绩(含政策性加分)×50% +(专业成绩 ÷300)×750×50%

辽宁省艺术类录取情况

综合成绩=文化课成绩/文化课总分×100×50%+专业课成绩/专业课总分×100×50%

山东省艺术类录取情况

综合成绩=文化成绩*50% + 专业成绩*2.5*50%

山西省艺术类录取情况

综合成绩=高考总成绩×50%+(专业省级统考成绩×2.5)×50%

云南省艺术类录取情况

综合成绩=(文化课成绩÷文化课总分×50%+专业课成绩÷专业课总分×50%)×750

河北省艺术类录取情况

综合成绩=文化课成绩×70%+专业考试成绩÷专业满分×750×30%

重庆市艺术类录取情况

综合成绩=文化成绩/750*300*50%+专业统考成绩*50%

湖北省艺术类类录取情况

综合成绩=文化成绩+省级统考专业成绩

浙江省艺术类类录取情况

综合成绩=高考总分×80%+专业省统考成绩×2.5×20%

安徽省艺术类录取情况

综合成绩 = 文化总分 × 50% + 专业分 × 2.5× 50%

黑龙江省艺术类录取情况

综合成绩=(专业课成绩÷专业课满分×750)×40%+文化课成绩(含照顾政策分)×60%

吉林省艺术类录取情况

综合成绩=(高考文化分÷文化满分)×70%+(专业分÷专业满分)×30%〕×750

甘肃省艺术类录取情况

综合成绩=文化课成绩×70%+专业考试成绩÷300×750×30%

河北省艺术类录取情况

综合成绩=文化课成绩×70%+专业考试成绩÷专业满分×750×30%

海南省艺术类录取情况

综合成绩=(0.55×高考文化课成绩/900+0.45×播音与主持类省级统考成绩/300)×500

陕西省艺术类录取情况

综合成绩=高考总成绩×50%+(省级统考成绩÷省级统考成绩满分×750)×50%

广西艺术类录取情况

综合成绩= 高考总分 × 50% + 艺术统考成绩 × (750/300) × 50%

贵州省艺术类录取情况

综合成绩=高考总成绩×60%+(专业省级统考成绩÷专业省级统考成绩满分×750)×40%

四川省艺术类录取情况

综合成绩 = 高考总分 × 50% + 专业省级统考成绩 × 2.5 × 50%

体育类

山东省体育类录取情况

综合成绩=文化成绩*30% + 专业成绩*7.5*70%

云南省体育类录取情况

重庆市体育类录取情况

综合成绩=文化成绩/750×100×40%+专业成绩×60%

海南省体育类录取情况

四川省体育类录取情况

录取结果查询方式

为方便广大学生与家长及时查询录取信息、录取通知书状态等,我校在招生录取阶段将通过招生服务网小程序以及微信公众号三种录取查询渠道及时发布各省(市、区)招生录取结果及相关录取咨询,考生可提前关注了解。

方式1

招生服务网站

复制网址到浏览器,进入我校官方网站

(https://zs.cdjcc.edu.cn)

方式2

官方小程序查询

微信搜索成都锦城学院小程序

方式3

官方微信公号查询

微信公众号搜索锦城招生

联系方式

学校地址:成都市高新西区西源大道 1号

咨询热线:028-87580030

微信公众号:锦城招生

官方QQ咨询群:993522894

微信小程序:成都锦城学院

成都锦城学院招生处

编辑 | 叶妍汐

审核 | 张乾林

评论
说点什么吧
发布

手机扫一扫下载APP

400-181-5008

优志愿将竭力为您提供帮助

(免长话费 )

教APP备3100148号