


2025年周口职业技术学院
普通高考 报考指南欢迎报考周口职业技术学院,学校在河南省招生代码6279,国标码12750。河南省普通高职专科提前批、普通高职专科批、体育高职专科批、艺术高职专科批填报志愿时间:7月5日8:00-7月7日18:00。

学校概况
周口职业技术学院是经河南省人民政府批准、国家教育部备案的公办全日制普通高等职业院校。学校办学历史始于1947年9月,2001年4月升格为高职专科,2025年开设有53个全日制高职专业,是河南省首批示范性高职院校、河南省高职教育品牌示范校、河南省优质高职院校、河南省高等职业学校高水平专业群建设单位。学校现有开元、文昌、中州三个校区,13个二级学院(部)和1所附属医院,占地面积1655亩,馆藏图书111万册,固定资产总值7.5亿元,教学设施完善,校园环境优雅。


学校先后荣获“河南省文明校园标兵”“河南省园林单位”“河南省卫生单位”“河南省示范性高职院校”“河南省优质高等职业院校”“河南省高等职业教育品牌示范学校”“河南省双高工程建设院校”等荣誉称号。

2025年河南省招生计划和专业代码表



阳光高考
河南省《招生之友》专业所在页码
普通类 历史类第480页 物理类第635页
体育类 历史类第760页 物理类第794页
音乐表演类 历史类第739页 物理类第783页
美术设计类 历史类第723页 物理类第777页
舞蹈类 历史类第745页 物理类第785页

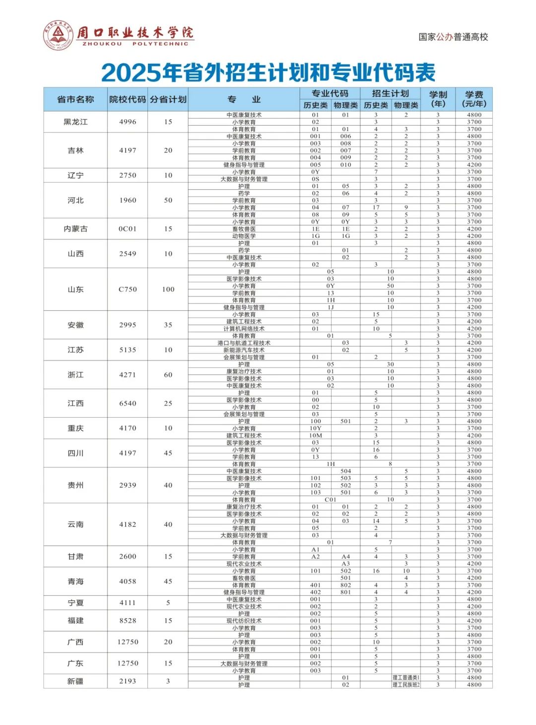
2025年外省招生计划和专业代码表
阳光高考
普通类录取规则
对进档考生按照“分数优先,遵循志愿”的原则,从高分到低分录取。即:由高考成绩总分加上照顾政策分值后生成排序成绩,优先满足高分考生的专业志愿。进档考生投档成绩相同时,依次按语文、数学、外语听力成绩由高到低排序录取。对于进档而又无法满足所报专业志愿的考生,服从专业调剂的,将调剂到招生计划尚未完成的专业,对专业计划已满又不服从专业调剂的考生给予退档处理。
艺术类招生专业为音乐表演、戏曲表演、舞蹈表演和视觉传达设计,不限定考生的乐器种类和舞蹈方向。音乐表演、戏曲表演专业招生对象为省统考声乐类,舞蹈表演专业招生对象为省统考舞蹈类考生,视觉传达设计专业招生对象为统考美术与设计类考生。
艺术类录取规则:使用考生所在省(市、自治区)统一组织的专业省级统考成绩。考生高考文化课成绩和专业统考成绩均达到所在省录取控制分数线,各省(市、自治区)有明确投档规则,按其投档规则执行;若无明确投档规则,高考文化课成绩和专业统考成绩均达到所在省录取控制分数线要求的考生,按照我省在艺术高职(专科)批设定的统一投档规则,考生综合成绩计算办法为:高考文化总成绩×0.5+专业省级统考成绩×1.25;由高分到低分择优依次排序录取。进档考生投档成绩相同时,先按艺术类省统考成绩排序,如仍相同,再按照普通类同分排序办法,由高到低排序录取。
体育类录取规则:使用考生所在省(市、自治区)统一组织的专业省级统考成绩。考生高考文化课成绩和专业统考成绩均达到所在省录取控制分数线,各省(市、自治区)有明确投档规则,按其投档规则执行;若无明确投档规则,高考文化课成绩和专业统考成绩均达到所在省录取控制分数线要求的考生,按照我省在体育高职(专科)批设定的统一投档规则,考生综合成绩计算办法为:高考文化总成绩×0.5+专业省级统考成绩×2.5;由高分到低分择优依次排序录取。进档考生投档成绩相同时,先按体育类省统考成绩排序,如仍相同,再按照普通类同分排序办法,由高到低排序录取。


招生信息发布渠道及联系方式
周口职业技术学院所有关于招生考试录取工作的相关信息只通过学校招生信息网(https://zs.zkvtc.edu.cn/)和学校官方微信公众号(周口职业技术学院招生服务平台)发布,考生可随时关注查看。学校没有委托任何中介机构或个人进行招生工作,对以周口职业技术学院名义进行非法招生宣传等活动的机构或个人,学校保留依法追究其责任的权利。望考生和家长不要轻信任何中介机构或个人的非法招生诈骗行为。
学校地址:
河南省周口市开元大道1号(开元校区)
河南省周口市文昌大道东段(文昌校区)
学校官网:https://www.zkvtc.edu.cn
招生信息网:https://zs.zkvtc.edu.cn/
招生咨询电话:0394-8693098 8693081
普招咨询QQ群:495444543 606810856
现场咨询地点:河南省周口市开元大道1号(开元校区)周口职业技术学院招生就业处招生办公室3112房间
高招云直播