
已关注
关注
重播 分享 赞
关闭
观看更多
更多
退出全屏
视频加载失败,请刷新页面再试
刷新 
同学们好!这一期,将详细讲解等级赋分的具体算法,内容很关键,注意听讲哦!
按照《河南省普通高中学业水平选择性考试科目等级赋分办法》,思想政治、地理、化学、生物学这4门再选科目每门等级分数的满分值为100分、起点分值为30分。转换时,先将每门再选科目考生的原始成绩从高到低划分为A、B、C、D、E共5个等级,各等级人数所占比例分别约为15%、35%、35%、13%和2%。再把A至E等级内的考生原始成绩,按照“等比例转换办法”,转换到100~86,85~71,70~56,55~41和40~30五个分数区间,最后会根据转换公式计算,得到大家的等级分数。
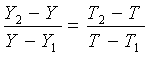
是不是还有些同学不太明白,没关系,我们举个例子。2025年,我省考生的化学科目原始成绩B等级分布区间为80~64,考生小明原始成绩为75分,其原始成绩就应该划分到B等级,对应的等级分数区间就是85~71。小明的具体等级分数应该怎么计算呢?那就要靠这个超给力的公式啦——

其中,Y表示原始成绩,即75分;Y1、Y2分别表示原始成绩区间的下限和上限,即64分、80分;T1、T2分别表示等级分数区间的下限和上限,即71分、85分;T就是转换后小明的等级分数。重点来啦!具体计算过程是这样的,同学们一定要睁大眼睛看清楚——


通过计算,小明化学科目的等级分数为81分。
经过讲解,相信大家都成功解锁等级分数的计算方法啦!无论怎么变化,实力永远是最大的底气,祝同学们实力拉满,梦想成真!
统筹 | 刘政军审核 | 臧惠君
责编 |陈野、李晓婧转载请按以下格式注明来源↓↓↓
河南省教育考试院“招考豫言”(微信号:ZKYYHN)
热点关注▼河南省2025年普通高校招生考试和录取工作实施方案及解读河南省2025年中国消防救援学院招生有关事项提醒河南省2025年普通高校招生非西藏生源定向西藏就业计划报考资格审核工作有关事项提醒河南省2025年初中学业水平考试(中招考试)相关事宜问答河南省2025年公安院校公安专业招生有关事项提醒2025年中央司法警官学院和河南司法警官职业学院普通本科提前批录取专业招生工作有关事项提醒看图识策 | 新高考为什么要实行等级赋分?@高考生 考后请关注这几个时间节点!“豫”见新高考 | 3个关键词了解新高考志愿填报变化你有呼,我必应!我们时刻准备着@高考生,全省招生考试综合服务大厅联系方式,请查收!@高考生 动态密码的微信绑定,只需简单三步河南省高考资讯点击进入官方网站



点亮“推荐”分享给更多考生吧

高招云直播