湖南中医药高等专科学校
2025年单招拟录取名单和录取分数线公示
根据湖南省教育厅、湖南省教育考试院有关文件要求和《湖南中医药高等专科学校2025年高职单招章程》《湖南中医药高等专科学校2025年艺术、体育特长生高职单招方案》的规定,我校将2025年单招拟录取名单报省教育考试院核查通过,现将拟录取名单及各类别考生的录取分数线予以公示,公示时间:2025年3月26日-4月1日。
若对拟录取公示名单有异议,请在公示期内与学校招生就业处(0731-28519008)或纪检监察处(0731-28519112)联系。
注意事项:
1.单招录取考生不得参加本年度统一高考和普通高校对口招生考试。
2.单招录取考生的录取通知书将于8月中旬邮寄,请考生保持电话畅通。
3.单招录取考生的学费、书籍费等费用在2025年新生开学报到期间统一缴纳,学校不预收任何费用。任何预收费用的行为均属招生诈骗,谨防上当受骗。
湖南中医药高等专科学校
2025年3月26日
附件1:2025年单招各类别考生录取分数线
2025年单招普通类考生录取分数线

同分排序规则为:应届普通高中毕业考生、中职考生和往届普通高中考生及同等学力考生和艺术体育特长生:如综合成绩相同,同分排序顺序为文化素质总分、职业技能测试总分、语文、数学、外语。退役军人:按职业技能测试单选题1-20题,21-40题以此类推,按分数高低依次录取。
2025年单招退役军人和艺术体育特长生录取分数线

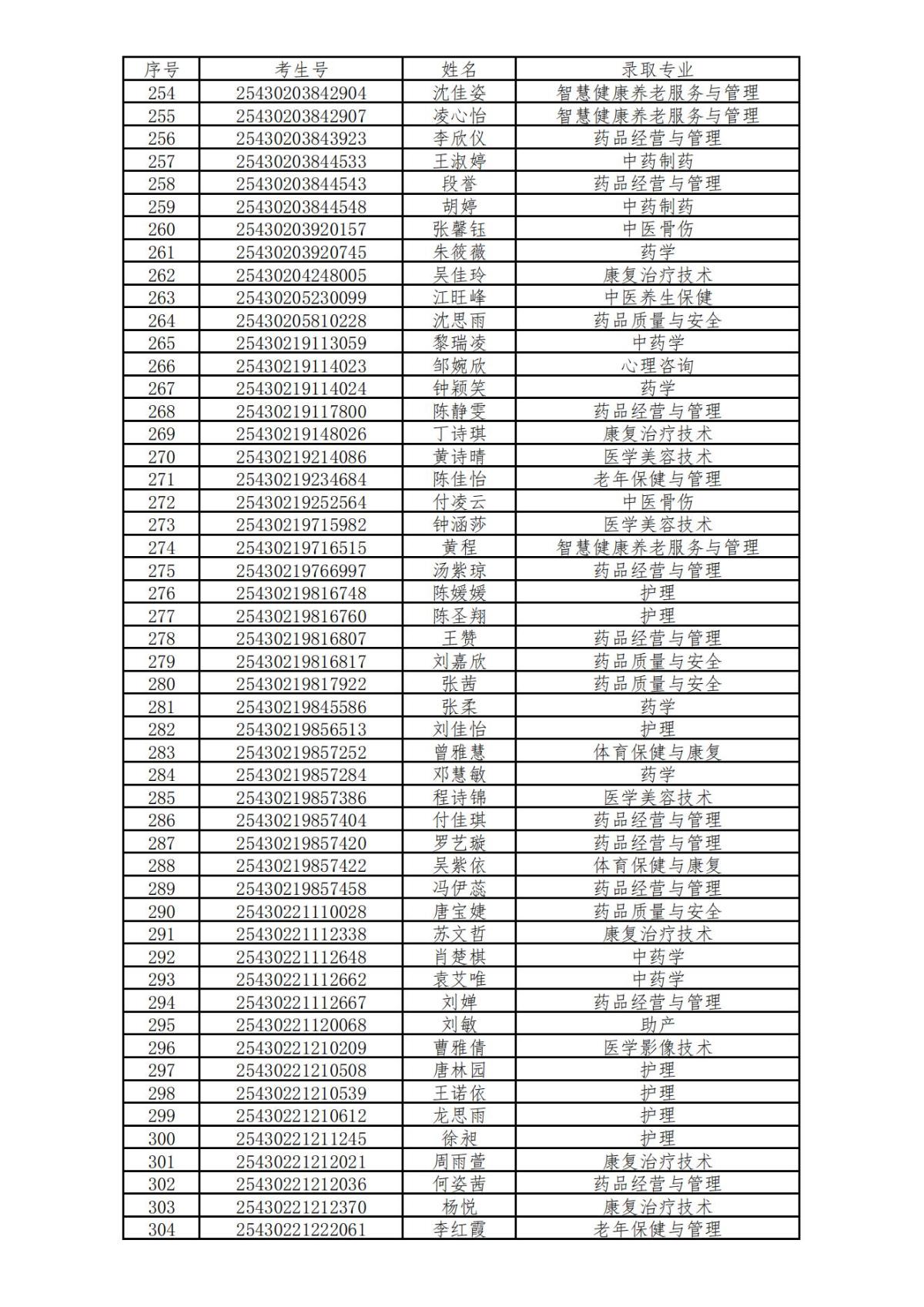
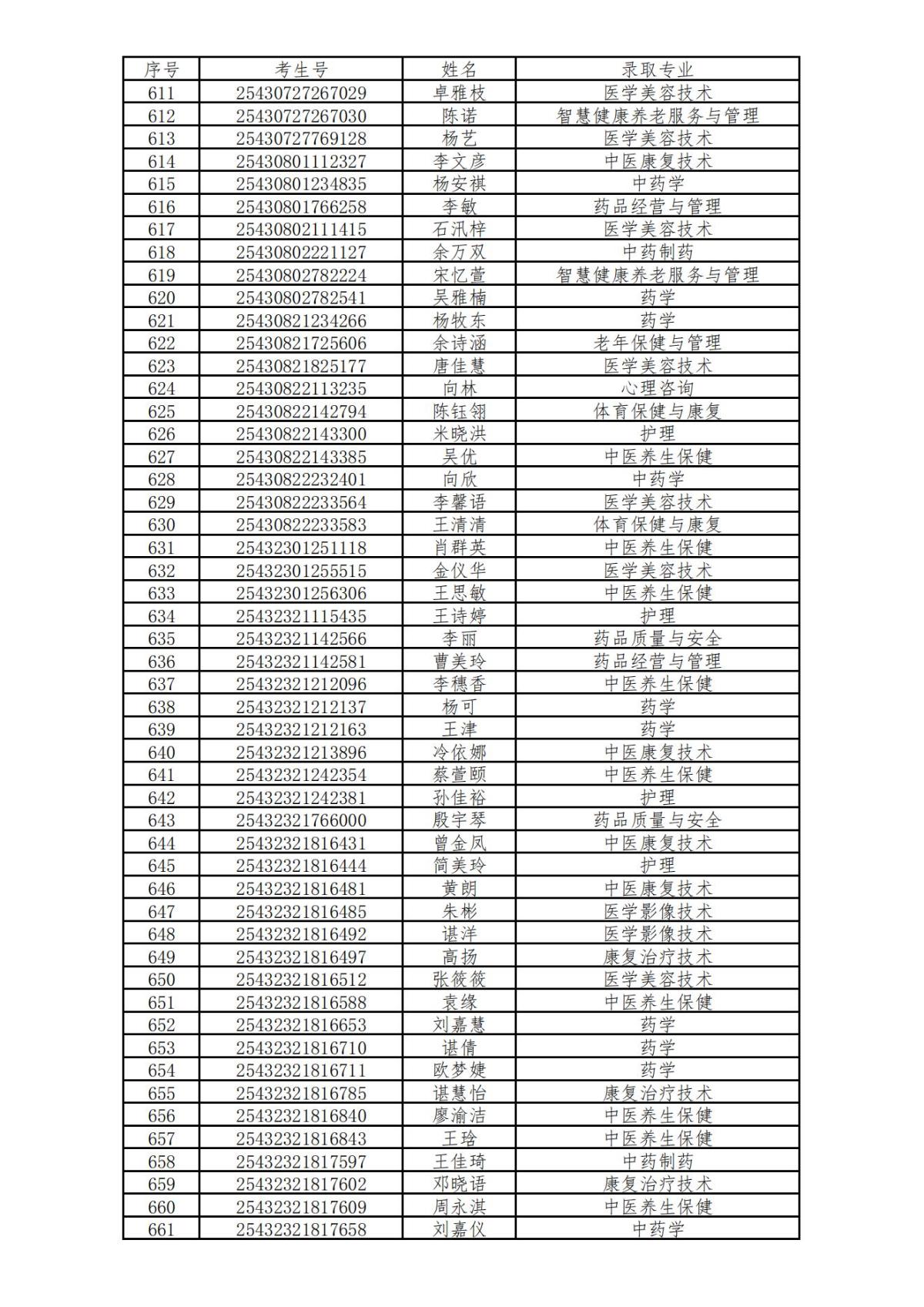
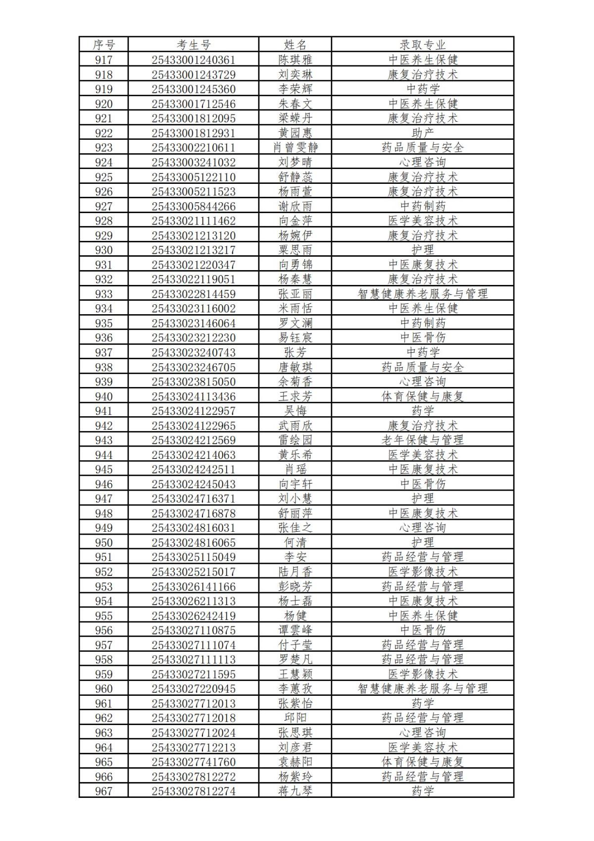
附件2:2025年单招拟录取名单




















高招云直播