文化素质考试为闭卷考试,共一份试卷,包括语文、数学、英语三个部分,总分200分,其中语文80分,数学80分,英语40分。语文部分的题型主要为选择题、综合题和写作题,数学部分的题型为选择题、填空题和解答题,英语部分的题型为选择题和阅读理解题。考试时间120分钟。
第一部分 语文考试大纲
一、考试能力要求 语文考试要求测试识记、理解、分析综合、鉴赏评价和表达应用五种能力,这五种能力表现为五个层级: 1.识记:指识别和记忆,要求能识别和记忆语文基础知识、文学常识和名句名篇等。 2.理解:指领会并能作简单的解释,要求能够领会并解释词语、句子、段落等的意思。 3.分析综合:指分解剖析和归纳整理,要求能够筛选材料中的信息,分解剖析相关现象和问题,并予以归纳整合。 4.鉴赏评价:指对阅读材料的鉴别、赏析和评说,要求以识记、理解和分析综合为基础,在阅读能力方面有所发展。 5.表达应用:指对语文知识和能力的运用,要求以识记、理解和分析综合为基础,在表达能力方面有所发展。 二、考试内容与范围 (一)基础知识与运用 考查语言文字的基本认知和运用能力。包括对现代汉语常用字的读音、字形、词义、句法等基础知识的掌握,以及标点符号的正确使用。此外,还包括对常用修辞手法、表达方式、文章结构等基本文学知识的理解和运用。 (二)文学常识与名著阅读 考查对中外文学常识和名著的了解程度,包括对一些著名作家、作品的基本认识,对一些文学流派、文学思潮的基本了解,以及对一些名著的情节、人物、主题的基本掌握。 考查对古今各类文本的阅读理解能力。这包括对文章主旨、段落大意、重要细节的理解,对作者观点、情感态度的把握,以及对文章结构、写作特色的分析。阅读材料可能包括记叙文、议论文、说明文、应用文等各类文体。 (三)写作 包括写作基础知识的运用,如文章结构、段落安排、语言表达等;也包括对不同文体写作能力的考查,如应用文、记叙文、议论文、说明文等;同时,还要求考生能够结合实际情况,写出有一定思想深度、表达清晰、语言流畅的文章。 三、考试形式与试卷结构 1.答卷方式:闭卷、笔试。 2.考试时间:约50分钟。 3.试卷题型:包括单项选择题和主观题。满分80分,试卷结构如下:
题型 | 题量 | 小题分 | 分值 | 考试内容 |
选择题 | 7 | 3 | 21 | 语言知识、语言表达、文学常识 |
3 | 3 | 9 | 文言文阅读理解 | |
综合题 | 2 | 4 | 8 | 古诗词鉴赏 |
1 | 3 | 3 | 仿写、句式变换 | |
2 | 4+5 | 9 | 现代文阅读理解 | |
写作题 | 1 | 30 | 30 | 写作应用 |
合计 | 16 | / | 80 |
四、部分样题参考 1.(3分)下列词语中,加横线的字读音有误的一项是( ) A.惬(qiè)意 寒暄(xuān) 停滞(zhì) B.菁(qīnɡ)华 蹒(pán)跚 纤(qiān)维 C.琐屑(xiè) 婆娑(suō) 停泊(bó) D.折(zhē)腾 桎梏(ɡù) 陡(dǒu)峭 2.(3分)下列各项中,没有语病的一项是( ) A.对于小张来说,通往大枣庄的这条路太熟悉了。 B.夜深了,整栋教学楼一片漆黑,只有高三(2)班的教室还亮着灯。 C.在全国政协会议上,对恶意不执行法院判决的人,有的人主张判刑,有的人不主张判刑。他同意这种主张。 D.在新的一年里,中华民族这条巨龙一定会腾飞于无垠的天际,创造出令世界惊异的奇迹来。 阅读下面的文言短文,完成3—5题。 君子曰:学不可以已。青,取之于蓝而青于蓝;冰,水为之而寒于水。木直中绳,輮以为轮,其曲中规。虽有槁暴,不复挺者,輮使之然也。故木受绳则直,金就砺则利,君子博学而日参省乎己,则知明而行无过矣。 吾尝终日而思矣,不如须臾之所学也;吾尝跂而望矣,不如登高之博见也。登高而招,臂非加长也,而见者远;顺风而呼,声非加疾也,而闻者彰。假舆马者,非利足也,而致千里;假舟楫者,非能水也,而绝江河。君子生非异也,善假于物也。 积土成山,风雨兴焉;积水成渊,蛟龙生焉;积善成德,而神明自得,圣心备焉。故不积跬步,无以至千里;不积小流,无以成江海。骐骥一跃,不能十步;驽马十驾,功在不舍。锲而舍之,朽木不折;锲而不舍,金石可镂。蚓无爪牙之利,筋骨之强,上食埃土,下饮黄泉,用心一也。蟹六跪而二螯,非蛇蟮之穴无可寄托者,用心躁也。 (选自《劝学(节选)》) 3.(3分)对下列句子中加横线词的解释,不正确的一项是( ) A.木直中绳 中:合于。 B.虽有槁暴 暴:晒干。 C.假舆马者 假:借助。 D.君子生非异也 生:出生。 4.(3分)下列句子中“而”字的用法与例句相同的一项是( ) 例句:冰,水为之而寒于水 A.吾尝终日而思矣 B.登高而招 C.臂非加长也,而见者远 D.蟹六跪而二螯 5.(3分)下列对文章的理解与分析,不正确的一项是( ) A.作者用“青出于蓝”“冰寒于水”两种生活现象说明学习可以使人提高,实现超越。 B.第一段用“輮木为轮”来推导出通过学习和“参省乎己”才能达到理想境界的结论。 C.第二段用“跂而望”不如“登高之博见”这种生活体验阐明“善假于物”的重要性。 D.第三段通过正反对比论述了只有积累、持之以恒和专心致志地学习,才能有所成就。 6.(3分)将下面三个短句改写成一个长句。(不能增删内容,个别字词可调整) ①音乐是由旋律和节奏组成的。 ②旋律能表达一定感情。 ③节奏能变换旋律的强弱。 7.写作题 例一:(30分)生活中,我们常收藏一些看似寻常,但却有特殊意义的物品,如一本书,一支笔,一朵制成书签的小花……因为它们背后往往有着动人的故事,能唤起我们的记忆、情感。请选一物,自拟题目,写一篇不少于450字的文章,可叙事,也可描写抒情。 例二:(30分)请以班级的名义写一份“不乱吐乱扔,美化校园、净化校园”的倡议书。字数不少于350字。
第二部分 数学考试大纲
一、考试能力要求 数学考试的目标是测试学生掌握从事社会主义现代化建设所必需的数学基础知识和基本技能;具体旨在考查学生数学运算、直观想象、逻辑推理、数学抽象、数据分析和数学建模的数学学科核心素养。考试题型为单项选择题及解答题。要求按照知识与技能从低到高分为如下三个层次: 1.初步理解知识的含义及其简单运用; 2.掌握知识的的概念和规律(定义、定理、法则等),以及与其他相关知识的联系; 3.能够应用数学知识求解相关数学问题,解决相关学科在生活中的一些简单实际应用。 二、考试范围与内容 1.集合与充要条件 (1)了解元素与集合的概念;理解元素与集合的关系;掌握常用数集与空集的符号;掌握集合的表示方法,并能灵活地用列举法或描述法表示具体集合。 (2)理解集合之间包含与相等、子集与真子集的含义;掌握集合之间基本关系的符号表示。 (3)理解两个集合交集与并集、全集与补集的含义;掌握集合的简单运算(交集、并集、补集);掌握借助于数轴进行不等式形式的集合运算。 (4)理解充分条件、必要条件、充要条件的意义,能判断所给条件和结论之间的关系。 2.不等式 (1)理解区间的概念;掌握区间的表示方法,能用区间表示不等式的解集。 (2)掌握一元一次不等式、二元一次不等式组、一元二次不等式和简单的分式不等式的解法,并能熟练求解。 (3)能熟练求解简单的绝对值不等式。 3.函数 (1)理解函数的相关概念,能熟练求出简单函数的函数值和定义域。 (2)理解函数的单调性和奇偶性,掌握单调函数和奇偶函数的图象特征,能判断简单函数的单调性和奇偶性。 (3)理解函数表示的解析法、列表法和图像法。 (4)了解分段函数的函数值的确定。 (5)了解函数的实际应用举例。 4.指数函数与对数函数 (1)掌握实数指数幂的运算法则并能熟练应用;掌握根式与分数指数幂的互化公式,能运用公式进行互化。 (2)理解幂、指、对三种基本初等函数的概念,掌握其图象和性质,并能应用其性质解决相关简单问题。 5.三角函数 (1)理解任意角的概念、弧度制的意义,能正确进行弧度与角度的换算;能正确判断给定角是否为象限角或界限角。 (2)掌握任意角的正弦、余弦、正切的定义,能根据给定角终边上一点的坐标求出该角的正弦、余弦、正切值;掌握界限角和特殊角的正弦函数值,余弦函数值,正切函数值的确定。 (3)理解各象限角的正弦函数值,余弦函数值,正切函数值的正负号的判断。 (4)掌握同角三角函数的基本关系式;掌握正弦、余弦、正切的诱导公式,能进行简单三角函数式的化简、求值。 (5)理解正弦函数和余弦函数的图象和性质;能根据三角函数值求0~2π间的特殊角。 6.直线与圆的方程 (1)掌握两点间的距离公式;能根据两点的坐标求出线段中点坐标。 (2)理解直线的倾斜角、斜率的概念,掌握过两点的直线的斜率公式;掌握直线方程的点斜式、斜截式、一般式方程的求法;能根据直线方程求出直线的斜率。 (3)掌握两条直线位置关系的判断;掌握两条直线相交的交点坐标的计算。 (4)掌握圆的相关概念;掌握圆的标准方程和圆的一般方程的确定;能根据圆的标准方程求圆心坐标和半径长度。 (5)理解直线与圆的基本位置关系及判定方法;掌握直线与圆相交时弦长的求法;掌握圆的切线的求法。 7.立体几何 (1)能识别三角形、正方形、长方形、圆形等平面图形及正方体、长方体、棱锥、圆锥、圆柱、球等规则立体图形,了解其性质。 (2)掌握平面图形的面积与柱、锥、球及其简单组合体的面积、体积的计算。 8.概率与统计初步 (1)理解随机事件(不可能事件、必然事件等)。 (2)理解古典概型的概率计算。 (3)理解互斥事件的概率加法公式。 三、考试形式与试卷结构 1.答题方式:闭卷、笔试,不允许使用计算器。 2.考试时间:约50分钟。 3.试卷题型:包括单项选择题、填空题和解答题。其中,填空题每题1-2空,全卷满分80分,试卷结构如下:
题型 | 题量 | 小题分 | 分值 |
单项选择题 | 10 | 3 | 30 |
填空题 | 6 | 3 | 30 |
解答题 | 2 | 10 | 20 |
合计 | 18 | / | 80 |
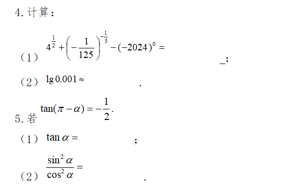
四、部分样题参考 一、选择题(每题3分,共30分) 
二、填空题(每空3分,共30分)
三、解答题(每题10分,共20分)

第三部分 英语考试大纲
一、考试能力要求 英语考试主要测试英语基础知识及其应用能力。考查考生对英语基础知识中词汇部分和语法部分的掌握情况,考查考生对英语篇章主旨大意的理解以及对文章具体信息的判断和推理能力。 二、考试范围和内容 (一)词汇 掌握《中等职业学校英语教学大纲》中的1700个左右单词及200个左右的固定搭配。 (二)语法 1.名词:掌握名词单复数变化规则、名词的所有格。 2.代词:掌握人称代词、物主代词、反身代词、指示代词、疑问代词和不定代词。 3.冠词:掌握a、an、the的基本用法。 4.介词:掌握表示时间的介词、表示地点的介词的基本用法。 5.连词:基本掌握连词。 6.数词:掌握基数词、序数词。 7.形容词:掌握形容词的比较级和最高级。 8.动词:掌握系动词、行为动词、助动词、常见情态动词的基本用法。 9.时态和语态:掌握一般现在时、一般过去时、一般将来时、现在进行时等基本时态及他们的被动语态。 10.非谓语动词:动词不定式、动词的-ing形式和动词的-ed形式。 11.句子种类:陈述句、疑问句、祈使句和感叹句。 12.简单句句型以及“There be”句型。 13.并列句:并列句中and、but、so、or等常用连词。 14.情景交际:问候与道别、感谢与道歉、祝愿与祝贺、接打电话等。 (三)阅读理解 考查考生以下阅读能力: 1.能够找出细节信息。 2.根据文章信息进行简单的推理、判断。 3.能在文章中找出常见题材的简短材料的主旨大意。 三、考试形式与试卷结构 1.答卷方式:闭卷、笔试。 2.考试时间:约20分钟。 3.试卷题型:考试题型为选择题。全卷满分40分,试卷结构如下:
题型 | 题量 | 小题分 | 分值 |
单项选择 | 10 | 2.5 | 25 |
阅读理解 | 5 | 3 | 15 |
合计 | 15 | / | 40 |
四、部分样题参考 一、单项选择题 (每题2.5分,共25分) 1.My sister can play ___ piano very well. A. a B. an C. the D. / 2.I usually go to bed ______ 10:30 PM. A .in B. on C .at D. 不填 3.— Thank you for helping me with my homework! — __________ A. You’re welcome. B. I’m sorry. C. How are you? D. Goodbye! 二、阅读理解(每题3分,共15分) Weekly School Activities The table below shows school activities for students this week. Read it carefully and answer the questions.
Day | Activity | Time | Place | Notes |
Monday | Science Experiment | 2:00 PM – 3:30 PM | Science Lab | Bringsafetygoggles |
Tuesday | English Corner | 1:00 PM – 2:00 PM | Library | PracticeEnglishsongs |
Wednesday | Art Class | 9:00 AM – 11:00 AM | Art Room | Use old T-shirts for painting |
Thursday | Soccer Match | 3:00 PM – 4:30 PM | School Field | Wear sports shoes |
Friday | Music Concert | 2:00 PM – 3:30 PM | Auditorium | Parents are welcome |
1.When is the English Corner? A. 2:00 PM – 3:30 PM B. 1:00 PM – 2:00 PM C. 9:00 AM – 11:00 AM D. 3:00 PM – 4:30 PM 2.Where will the Art Class be held? A. Science Lab B. Library C. Art Room D. School Field 3.Which activity requires students to wear sports shoes? A. Science Experiment B. English Corner C. Art Class D. Soccer Match 4.What should students bring to the Science Experiment? A. Old T-shirts B. Safety goggles C. English books D. Musical instruments 5.On which day can parents attend a school activity? A. Monday B. Tuesday C. Thursday D. Friday
高招云直播