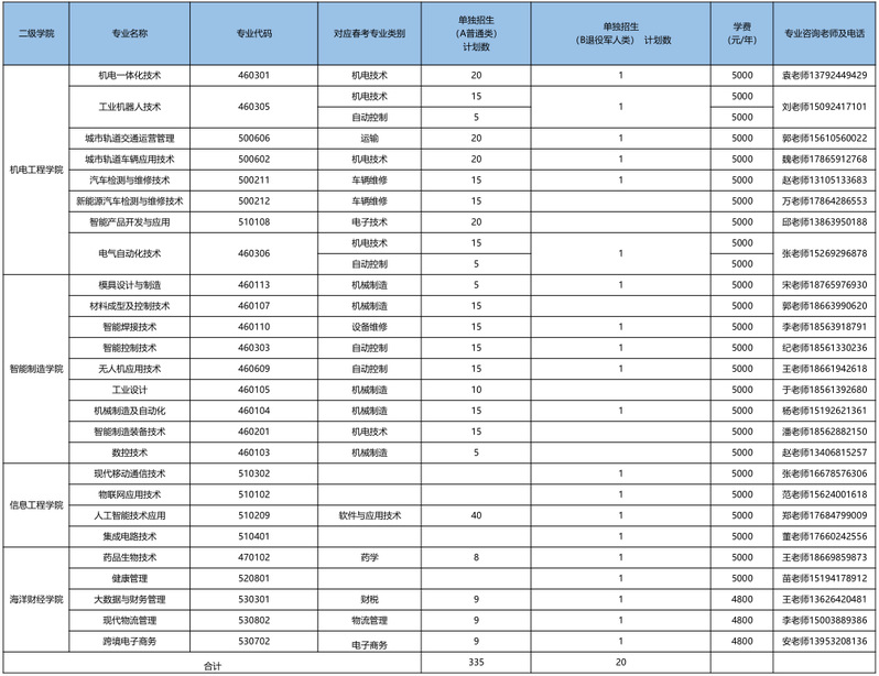
青岛工程职业学院2024年单独招生和综合评价招生总计划500人,其中单独考试招生计划355人(普通类335人,退役军人类20人),综合评价招生计划145人。
青岛工程职业学院2024年单独招生分专业计划一览表

青岛工程职业学院2024年综合评价招生分专业计划一览表

注:1.学制均为三年
2.招生计划以山东省教育招生考试院公布为准
联系方式:
学院招生QQ咨询群:342605058、331298208

招生咨询电话:0532-582666600532-58266661
学院网址:http://www.qdec.edu.cn
学院招生网址:https://zs.qdec.edu.cn/
高招云直播