您当前的浏览器版本过低,请您升级浏览器
为了更好的使用优志愿产品,点击下载

谷歌浏览器

360极速浏览器

360安全浏览器

QQ浏览器

火狐浏览器

全国服务热线:400-181-5008
祝广大考生金榜题名
开通VIP

收藏

分享

新高考,等级赋分是什么?一起来认识

| 来源:优志愿整理 3674

随着教育改革的不断深入,新高考制度应运而生,其中等级赋分制度作为其核心组成部分,正逐步改变着传统的高考评分模式。这一制度旨在通过更加科学合理的评分方式,确保每一位考生都能在公平的环境下展现自己的真实水平。今天来了解新高考下的等级赋分制度。

等级赋分的背景与意义

新高考制度,特别是“3+1+2”模式,为考生提供了更多的科目选择空间。然而,不同科目的难度和报考人数差异,使得原始分数直接相加难以保证公平性。因此,等级赋分制度应运而生。这一制度的核心在于,将考生的原始分数按照一定的规则转换为等级分数,从而解决不同科目分数不可比的问题。

等级赋分的实施,不仅有助于平衡不同科目的难度差异,还能保持考生每门学科成绩排名顺序不变,确保成绩转换的公平公正。同时,它还能最大限度保证考生的成绩具有良好的区分度,满足普通高校人才选拔需要。

等级赋分的具体操作

等级赋分制度适用于新高考中的再选科目,即思想政治、地理、化学、生物学四门选择性考试科目。具体操作流程如下:

划分等级:首先,将每个选考科目的考生群体原始分从高到低进行排序,然后根据考生群体成绩的统计分布,以一定的人数比例将该选考科目考生群体划分为若干个等级。通常,这些等级被划分为A、B、C、D、E五个等级,每个等级对应一个固定的分数区间。

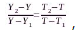
例如:例如,甲同学生物学科目原始成绩为77分,按照原始成绩排序,等级比例应划分到B等级,而该学科B等级的原始成绩分布区间为80~64,等级分区间为85~71,按照转换公式:

其中Y1=64、Y2=80、T1=71、T2=85,甲同学生物学科目的等级分T≈82。

等级赋分:在划分等级后,将等级转换为等级分数。等级分数的满分值为100分,起点分值为30分。从A至E每个等级按照1分1档的分数间隔对各个等级进行连续赋分。根据每个考生的原始分数及其所在等级的等级赋分区间,运用等比例转换法则将其原始分换算成等级分数。

等级赋分的影响与意义

等级赋分制度的实施,对考生、高校以及整个教育体系都产生了深远的影响。

对考生而言:等级赋分制度使得不同科目的分数具有可比性,从而更加公平地反映了考生的真实水平。同时,它也鼓励考生根据自己的兴趣和特长选择科目,有助于培养学生的综合素质和创新能力。

对高校而言:等级赋分制度为高校提供了更加科学、合理的选拔依据。高校可以根据考生的等级分数和综合素质进行综合评价,选拔出更加符合学校和专业要求的人才。

对教育体系而言:等级赋分制度的实施推动了教育公平的实现。它使得不同地区的考生能够在更加公平的环境下竞争,有助于缩小教育差距,促进教育资源的均衡分配。

等级赋分制度作为新高考制度的重要组成部分,其核心理念在于实现教育公平和科学合理的选拔机制,同时,也将激励广大考生努力学习、全面发展。

评论
说点什么吧
发布

手机扫一扫下载APP

400-181-5008

优志愿将竭力为您提供帮助

(免长话费 )

教APP备3100148号