2025年广西高职高专分类考试招生联合测试
单独招生《职业适应性测试》考试大纲
本考试大纲依据《国务院关于深化考试招生制度改革的实施意见》(国发〔2014〕35号)、《教育部办公厅关于进一步完善高职院校分类考试工作的通知》(教学厅函〔2021〕36号)、《自治区招生考试院关于做好我区2025年高职院校分类考试招生工作的通知》(桂考院〔2024〕189号)等文件精神制定。
一、测试性质
本考试大纲适用于2025年广西高职高专院校招生联盟单独招生的联合测试。
二、测试对象
参加我区2025年普通高校招生考试报名且符合《自治区招生考试院关于做好我区2025年高职院校分类考试招生工作的通知》(桂考院〔2024〕189 号)文件所规定报名条件的考生。
三、测试目标
依据联盟学校的人才选拔要求和专业课程标准,科学设计命题内容,增强基础性、综合性,实行“职业适应性测试”评价方式,着重考查学生职业适应性能力,全面、准确地反映考生的学习能力和水平,为联盟学校专业招生择优录取提供依据,促进公平竞争、科学选才。
四、测试形式
本次测试采用线下笔试形式进行,采用标准化答题卡答卷,时长为90分钟。
参加联合测试的考生为“单独招生”类型。
五、测试内容和试卷结构
(一)测试内容
仅测试职业适应性测试,总分300分。
(二)测试试卷结构和内容
1.试卷结构
职业适应性测试目的是考查考生的职业潜能,包括学习能力、语言表达能力、分析推理能力。
总分300分。其中:
(1)学习能力:满分100分,共23道题。其中:单选题19题,每题4分;多选题4题,每题6分;
(2)语言表达能力:满分100分,共23道题。其中:单选题19题,每题4分;多选题4题,每题6分;
(3)分析推理能力:满分100分,共23道题。其中:单选题19题,每题4分;多选题4题,每题6分。
2.测试内容
职业适应性测试内容包括学习能力、语言表达能力、分析推理能力。
(1)学习能力测试的主要内容:
①注意力。包括:注意力的稳定性、持续性、广度、分配转移、集中性五个指标的测试。
②记忆力。包括:选择记忆、联想记忆、视觉再生、视觉再认、视听综合等记忆力指标的测试。
③思维力。包括:抽象思维能力、空间思维能力、逻辑思维能力等指标的测试。
④观察力。包括:目的性、条理性、理解性、敏锐性、准确性等方面的测试。
(2)语言表达能力测试的主要内容:
语言表达能力测试,是以语文为工具,测试考生对自然科学、人文与社会科学等基础知识的理解与表达能力。
语言表达能力的测试包括:运用语言的能力,即运用字、词、句、段进行口头和书面语言表达能力的测试。
①了解相关学科的常用术语和表达形式,以及新成果和新术语。
②理解相关学科的基本概念、一般原理和普遍规律,能理解所给文本中重要的词语,解释文本中重要的句子,进行文章、段落的概括与归纳。
③应用科学知识去正确地解释和说明有关现象和问题,对已学知识具有综合、重组和转换的能力,且具有敏锐地接受新知识的能力。
(3)分析推理能力测试的主要内容:
分析推理能力主要测试考生对各种事物关系的分析推理能力,涉及对图形、词语概念、数量关系、事物关系和文字材料的理解、比较、组合、演绎和归纳等。包括:归纳推理能力、演绎推理能力、类比推理能力等。
3.试卷呈现
联合测试采用现场笔试的方式进行,测试题为标准化试题,采用标准化答题卡答卷。具体详见附件:广西高职高专院校招生联盟2025年高职高专分类考试招生联合测试单独招生考试职业适应性测试试题(样题)。
六.试题编制要求
按照考试的要求和范围编制试题,试题编制应当符合考试目标要求,充分考虑普通高中学生的学业实际,做到科学、合理;题意明确、文字通顺、表述准确严密;标点符号无误、图表绘制规范;不出现政治性、科学性错误;避免学术上有争议的问题;不出偏题、怪题和没有考查意义的题目。试题具有较高的信度效度、必要的区分度和适当的难度,题目的答案应准确、规范。
命题小组组长按测试的要求和范围审定试题及组配试卷。每份试卷要覆盖测试的范围,杜绝出现政治性、科学性、公平性、规范性问题。组配的试卷要使不同能力层次试题的分数和不同难易程度试题的比例适当。
本次测试应组配出两套试卷,分A、B两份试题,由测评工作领导小组随机确定考试试卷。
附件:2025年广西高职高专分类考试招生联合测试单独招生考试职业适应性测试试题(样题)
附件
2025年广西高职高专分类考试招生联合测试单独招生考试职业适应性测试试题(样题)
说明:
1.本测试包括学习能力、语言表达能力、分析推理能力三部分内容。
2.本测试全部采用标准化试题,共69题,满分300分。
3.本测试考试时间90分钟。
一、学习能力(本大题共23题,共100分)
(一)选择题:共19小题,每小题4分,共计76分。每小题给出的四个选项中,只有一个选项是正确的,请选出你认为正确的选项并填涂在答题卡相应的位置上。
1.在垃圾分类中,可回收物主要包括废纸、塑料、玻璃、金属和布料五大类,以下垃圾中属于可回收物的是( )。
A.图书 B.电池
C.纸巾 D.水银温度计
2. 如果要学习秦始皇为什么要修筑万里长城,三国鼎立是指哪三个国家,郑和为什么要下西洋等相关的知识,对学习目标描述最准确的是( )。
A.学习世界历史知识 B.学习中国古代历史知识
C.学习中国传统文化 D.学习汉代历史知识
3.我们都听说过“乌鸦喝水”的故事,瓶子的水少,乌鸦就用旁边随处可见的石子放在瓶子里,最后使自己喝到了水。这说明人们在利用有限的资源取得成功的时候,最重要的是要善于( )。
A.学习成功经验 B.提高工作效率
C.做好思想准备 D.运用方法和工具
4.本题后面列的哪一项应接在“X 0 0 0 0 X X 0 0 0 X X X”的后面。( )
A.X 0 X 0 B.0 0 X C.0 X X D.0 0
5.下面关于学习能力的描述,不正确的是( )。
A. 学习能力是天性习得,所以学习能力的强弱是由智商决定的
B. 拥有学习能力的人,可以把获取到的准确的知识和信息转化为自身能力
C. 学习能力必须通过一定的学习实践才能形成和发展
D. 学生要通过教师的指导来掌握科学的学习方法,从而提高学习能力
6.按下列诗词所描写的一年中的节日的先后顺序,排列正确的是( )。
①清明时节雨纷纷,路人行人欲断魂
②离别一何久,七度过中秋
③年年端午风兼雨,似为屈原陈昔冤
④爆竹声中一岁除,春风送暖入屠苏
A.①②③④
B.④①②③
C.④①③②
D.①③②④
7.进入互联网时代,发电子邮件是不可少的,一般而言,发电子邮件包括以下几个步骤:a.打开电子信箱;b.输入发送地址;c.输入主题;d.输入信件内容;e.点击“写邮件”;f.点击“发送邮件”。正确的步骤是( )。
A.a→b→c→d→e→f
B.a→c→d→f→e→b
C.a→e→b→c→d→f
D.b→a→c→d→f→e
8.人讲举一反三、触类旁通,意思是掌握某种知识后,能把这些知识应用于相似的或有联系的工作岗位及工作任务中去,实现学习的迁移。当然,迁移有正迁移和负迁移之分,下面哪些现象不属于正迁移?( )
A.学习钢琴的人再来学习电子琴
B.学习汉语拼音的人再去学习英语
C.学习数学的人再去学习经济学
D.学习英语的人再来学习法语
9.下列四个平面图形中,每个小四边形皆为正方形,其中可以沿两个正方形的相邻边折叠围成一个正方体的图形的是( )。
10.今天的两天前是星期二,请问明天的往后一天是星期几( )。
A.星期一 B.星期二 C.星期六 D.星期日
11. ……
12. ……
13. ……
14. ……
15. ……
16. ……
17. ……
18. ……
19. ……
(二)选择题:共4小题,每小题6分,共计24分。每小题给出的四个选项中,有多项符合题目要求,请选出你认为正确的选项并填涂在答题卡相应的位置上。全部选对得6分,选对但不全的得部分分,不选或有选错的得0分。
20.寓言是用比喻性的故事寄寓意味深长的道理的文学作品,带有讽刺或劝诫的性质。以下成语中属于寓言故事的是( )。
A.女娲补天 B.自相矛盾 C.亡羊补牢 D.三顾茅庐
21.如果想通过获取人文知识来提高人文素养,那么以下书籍中可以选择阅读的是( )。
A.《三国演义》 B.《史记》 C.《乡土中国》 D.《朝花夕拾》
22.学生小王利用暑假在一家服装店打工,为了提高业务素质,提高销售水平,他可以学习以下哪些知识( )。
A.销售技巧 B.消费心理学 C.社交礼仪 D.公共心理学
23.……
二、语言表达能力(本大题共23题,100分)
(一)选择题:共19小题,每小题4分,共计76分。每小题给出的四个选项中,只有一个选项是正确的,请选出你认为正确的选项并填涂在答题卡相应的位置上。
1.在今天的商业世界中,供过于求是普遍现象。为了说服顾客购买自己的产品,大规模竞争就在同类商品的生产企业之间展开了,他们得经常设法向消费者提醒自己产品的名字和优等的质量,这就需要靠广告。
对这段文字概括最恰当的是( )。
A.广告是商业世界的必然产物
B.各商家之间用广告开展竞争
C.广告就是要说服顾客买东西
D.广告是经济活动中供过于求的产物
2.给下面语句排序,衔接恰当的一项是( )。①因为较弱的电磁辐射,也会对人的神经系统与心血管系统产生一定的干扰。②人的大脑和神经会产生微弱的电磁波,当周围电器发出比它强数百万倍的电磁波时,人的神经活动就会受到严重干扰。③即使在不太强的电磁场环境中工作和生活,人也会受到影响。④如果长时间处于这种强电磁波的环境中,人会出现头痛、注意力不集中、嗜睡等症状,强电磁辐射会使心血管疾病加重、神经系统功能失调。 A.④①②③ B.②③①④ C.④③②① D.②④③①
3.牛的可贵之处,即在活着的时候,就不知疲倦地供人役使,死后则把全身献给社会。牛对于社会真是“鞠躬尽瘁,死而后已”。这段话支持了的观点是( )。
A.牛是不知疲倦的动物
B.牛是农民的宝贝
C.牛是社会的财富
D. 牛是奉献精神的象征
4.下列各句中,表达得体的是( )。
A.真是事出意外!舍弟太过顽皮,碰碎了您家这么贵重的花瓶,敬请原谅,我们一定照价赔偿。
B.他的书法龙飞凤舞,引来一片赞叹,但落款却出了差错,一时又无法弥补,只好连声道歉:“献丑,献丑!”
C.他是我最信任的朋友,头脑灵活,处事周到,每次我遇到难题写信垂询,都能得到很有启发的回复。
D.由于路上堵车非常严重,我赶到约定地点的时候,对方早已恭候多时。
5.某商场一年中各月份的收入、支出情况的统计如图所示,下列说法中错误的是( )。
A.2至3月份的收入的变化率与11至12月份的收入的变化率相同
B.支出最高值与支出最低值的比是6:1
C.利润最高的月份是2月份
D.第三季度平均收入为50万元
6.……
7.……
8.……
9.……
10.……
11. ……
12. ……
13. ……
14. ……
15. ……
16. ……
17. ……
18. ……
19. ……
(二)选择题:共4小题,每小题6分,共计24分。每小题给出的四个选项中,有多项符合题目要求,请选出你认为正确的选项并填涂在答题卡相应的位置上。全部选对得6分,选对但不全的得部分分,不选或有选错的得0分。
20.关于以下文学作品语言风格分析正确的是( )。
A. 李白的诗风豪放飘逸,如“飞流直下三千尺,疑是银河落九天”,想象奇特,气势磅礴。
B. 柳永的词多婉约细腻,“今宵酒醒何处?杨柳岸,晓风残月”,情感含蓄,意境凄美。
C. 鲁迅的杂文语言犀利深刻,如“不在沉默中爆发,就在沉默中灭亡”,直刺社会黑暗。
D. 沈从文的《边城》语言具有地方特色(湘西方言特色),华丽夸张,充满诗性。
21.下列句子表意准确的是( )。
A. 我大约在晚上七点左右能完成作业
B. 他的年龄大概是十五岁上下
C. 我肯定明天下午三点会准时到达
D. 他明确表示愿意参加这次活动
22.……
23.……
三、分析推理能力(本大题共23题,共100分)
(一)选择题:共19小题,每小题4分,共计76分。每小题给出的四个选项中,只有一个选项是正确的,请选出你认为正确的选项并填涂在答题卡相应的位置上。
1.井冈山:红色摇篮,请据此选出逻辑关系最为匹配的一项是( )。
A.延安:革命圣地 B.庐山:瀑布
C.华山:险峻 D.广西:壮族自治区
2.商场有一个活动,先旋转转盘指针。如果指针停在奇数的位置,玩家就可以从袋子抽出一个弹珠。转盘和袋子里的弹珠如下图所示,如果抽到黑色的弹珠就能得到奖品,小明试了一次,请问他得到奖品的可能性为何?( )

A.不可能 B.不太可能
C.非常可能 D.一定可以
3.有五个学生:甲、乙、丙、丁、戊,他们的学习成绩的关系为:丙没有丁好,甲没有乙好,戊好于丁,而乙不如丙好。请问五位学生成绩从高到低排序是( )。
A.甲乙丙丁戊 B.乙戊丁丙甲
C.丁丙乙甲戊 D.戊丁丙乙甲
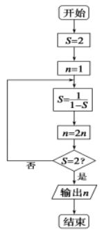
4.阅读如图所示的程序框图,运行相应的程序,输出的结果是( )。
A.2 B.4 C.8 D.16
5.如果生物要生存,就需要进行呼吸运动;乳酸菌是一种生物,可以在无氧条
件下生存。根据以上描述,可以推断( )。
A.有的生物在无氧条件下可以进行呼吸运动
B.乳酸菌是一种不需要呼吸的生物
C.乳酸菌在无氧条件下不能呼吸
D.能在无氧条件下生存的生物为数不多
6.……
7.……
8.……
9.……
10.……
11. ……
12. ……
13. ……
14. ……
15. ……
16. ……
17. ……
18. ……
19. ……
(二)选择题:共4小题,每小题6分,共计24分。每小题给出的四个选项中,有多项符合题目要求,请选出你认为正确的选项并填涂在答题卡相应的位置上。全部选对得6分,选对但不全的得部分分,不选或有选错的得0分。
20.甲、乙、丙三人参加了一个知识竞赛。赛后,他们对自己是否获奖进行了如下猜测:
甲说:“我获奖了。”
乙说:“甲没有获奖,丙获奖了。”
丙说:“我和甲都没有获奖。”
当结果公布后,发现他们三人中只有一个人的猜测是对的。请问,下列哪些结论可能正确?( )
A. 甲获奖了
B. 乙获奖了
C. 丙获奖了
D. 没有人获奖
21.数列:2,5,10,17,......,下列哪些选项可能是这个数列的一部分?( )
A. 26 B. 28 C. 30 D. 37
22.……
23.……
广西公办高职高专院校招生联盟 2024年12月6日印发
高招云直播