您当前的浏览器版本过低,请您升级浏览器
为了更好的使用优志愿产品,点击下载

谷歌浏览器

360极速浏览器

360安全浏览器

QQ浏览器

火狐浏览器

全国服务热线:400-181-5008
祝广大考生金榜题名
开通VIP

收藏

分享

广东司法警官职业学院2023年自主招生普通现代学徒制试点考试成绩公示

| 来源:广东司法警官职业学院 2068

广东司法警官职业学院2023年自主招生普通现代学徒制试点考试成绩公示

窗体顶端

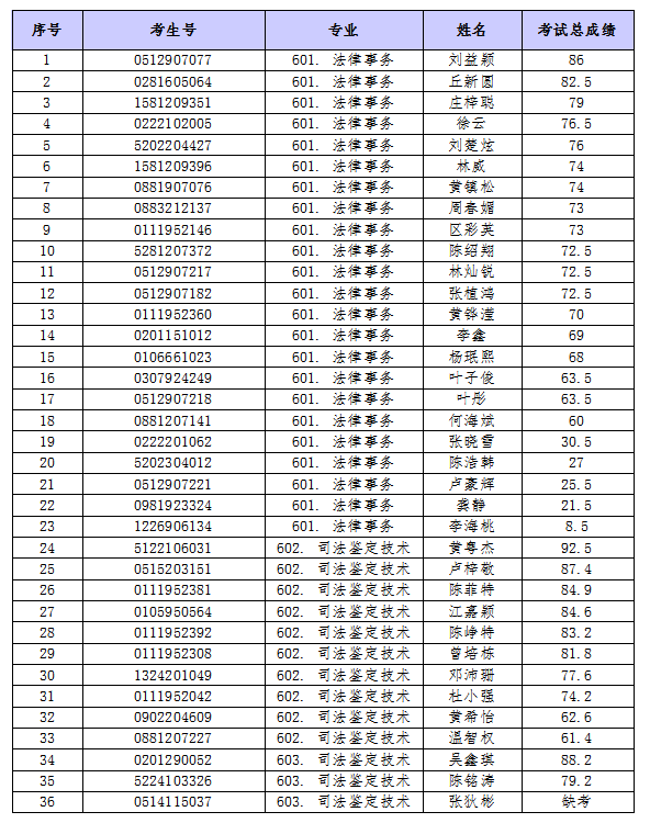
根据广东省教育厅关于做好2023年高等职业院校自主招生工作的通知(粤教考函〔2023〕13号)精神及广东司法警官职业学院2023年普通现代学徒制试点招生简章的有关规定,现将2023年普通现代学徒制试点自主招生考试成绩予以公示:

公示期为2023年5月24日至2023年5月26日。若对公示成绩有异议,请以电子邮件的方式(2243296691@qq.com)的形式向我院招生办公室反映。反映情况者须实名,提供真实姓名、身份证正反面扫描件和联系方式(手机号码),匿名件不予受理。

广东司法警官职业学院

招生办公室

2023年5月24日

评论
说点什么吧
发布

手机扫一扫下载APP

400-181-5008

优志愿将竭力为您提供帮助

(免长话费 )

教APP备3100148号