2025年,山西、河南、陕西、内蒙古、四川、云南、宁夏、青海等第五批高考综合改革省、自治区将要首考落地,为实现平稳过渡,相关省区组织了适应性演练。数学科适应性测试题由教育部教育考试院命制,可供依据《普通高中数学课程标准(2017年版2020年修订)》教学、使用高考全国卷的省区市参考借鉴。
保继光(北京师范大学数学科学学院教授)
测试卷突出考查学生的思维品质和核心概念,引导高中数学教学遵循课程标准,突出基本目标,夯实学生学习基础,助力减轻学业负担,进一步促进素质教育的健康发展。
一、延续高考改革思路,注重思维品质的考查

在前四批21个省区市的新高考已平稳落地的基础上,测试卷既在整体上延续了几年来新高考数学试卷单选题、多选题、填空题、解答题的结构,也保持了2024年试卷的题型格局和赋分方案,分别为单选题8个(40分)、多选题3个(18分)、填空题3个(15分)、解答题5个(77分)。同时,测试卷控制了阅读总量,减少了繁琐运算,科学设计了试卷的难度梯度,延续了“多考想的、少考算的”的考查理念,尤其体现在单选题和填空题最后一题上。
以上两个例子的解法避免了繁难运算,简单明了,不易出错。这对于破解高中教学中存在的题海战术、机械刷题等顽症,提升高考试题对中学教学的导向作用具有积极的意义。
未来的高考要区分出真正具备数学素养、思维能力强的学生,而不是靠熟练度只会做套路题目的学生。测试卷表明,考生应该改变原有的应考观念,走出“多刷题、算得快”的误区。也可以看出,通过选择行之有效的方法简化计算,让考生能够有充分的时间进行思考,仍然是今后高考数学将坚持的改革方向。
二、引导高中数学教学,加强核心概念的考查
在《普通高中数学课程标准(2017年版2020年修订)》中,一共出现了159次“概念”这个词汇。第一个数学学科核心素养“数学抽象”主要包括:从数量与数量关系、图形与图形关系中抽象出数学概念及概念之间的关系,从事物的具体背景中抽象出一般规律和结构,并用数学语言予以表征。对于评价,建议“应聚焦数学的核心概念和通性通法,聚焦它们所承载的数学学科核心素养”。在命题原则中指出,“考查内容应围绕数学内容主线,聚焦学生对重要数学概念、定理、方法、思想的理解和应用”。
测试卷的大部分试题都强调核心概念和基本计算,引导高中教学扎实实施素质教育,使得“人人都能获得良好的数学教育,不同的人在数学上得到不同的发展”。前7个单选题题干简洁清晰、运算量小,根据相应的概念即可通过基本的计算获得结果。多选题由于得分的规则,对每一个选项均需做出判断。第9题需要熟悉抛物线的定义和基本性质,容易知道A、B、C是正确的,排除D则需要稍微计算一下。第10题主要判别单调性,借助导数,容易得知A、C是对的,B是错的;再根据双曲正切的定义,也易知D是对的。第12题涉及指数和对数的运算,第13题是一个简单的古典概型问题,均考查基本概念和相应的基本计算。第15题是基本的统计计算问题。第16题按照等比数列的定义展开论证即可。第17题研究函数的切线,关注极值的局部性。测试卷试题的每一问基本都离不开对核心概念的理解。
当代认知学习理论的代表人物布鲁纳(Bruner)认为,掌握一门学科就是要掌握这门学科核心的、根本的概念。李邦河院士指出,数学根本上是玩概念的,不是玩技巧,技巧不足道也;在一些难题、技巧上下功夫,恰恰是舍本逐末的做法。概念是人类智慧的结晶,是数学理论和数学框架的奠基石,无论是传授数学知识,还是培养能力,都必须以数学概念为基础和前提。更重要的是在认识概念本质属性的过程中,借助观察、对比、辨析、抽象、概括等数学思维活动,发展学生抽象思维和推理能力,感悟数学思想方法,进而有效地应用概念解决问题,提升数学学科核心素养。
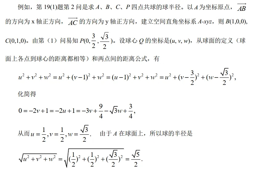
第18题考查椭圆的要素、椭圆与直线的位置关系,以及动点的轨迹。第19题是关于立体几何的,主要关心平面的位置关系和数量关系,需要一定的空间想象能力。第18(3)、19(2)题虽有一定的计算量,但都是常规的。
测试卷符合“依标命题、源于教材”的命题理念,强化与课标、教材的衔接,引导一线教学回归课标、回归课堂主渠道,引导一线教学讲透教材内容,注重减量提质,与高中数学教学同向同行、同频共振,对数学高考改革又做了一次有益的尝试,对教育评价具有积极的导向作用。
2024年8月6日,中共中央、国务院发布了《关于弘扬教育家精神加强新时代高素质专业化教师队伍建设的意见》,强调要提高教师学科能力和学科素养,将学科能力和学科素养作为教师教书育人的基础,贯穿教师发展全过程。教学经验的积累的确可以让教师的教学变得更加成熟,但未必能决定他们教育的高度,决定教师教育高度的根本因素是教师的学科能力和学科素养。在高中数学教学过程中,教师要认真备课,而不是背课,不仅能将教学内容流畅地讲出来,更重要的是将其中的思维流畅地展示出来;要将每一个耳熟能详的概念当成新概念讲解,尽可能有逻辑地展开论述。这样才能把学生的数学思维教出来,数学素养培养出来。
周裕燕(福建师范大学附属中学)
2025年第五批高考综合改革省、自治区将要首考落地,适应性测试卷结合这些省区的实际情况,在试卷结构、考查内容和要求上进行了合理设计。试卷立足高考内容改革,遵循课程标准,重点考查必备知识、关键能力和核心素养,强化基础性、综合性、应用性、创新性的考查要求。试卷坚持素养导向,深化基础考查,聚焦学科主干知识,突出考查思维过程与方法,体现了重视思维、关注应用、鼓励创新的指导思想,助力拔尖创新人才选拔。
一、深化基础性考查,落实考教衔接
1.严格遵循课程标准。《普通高中数学课程标准(2017年版2020年修订)》是高考命题的重要依据,数学测试卷的命题严格遵循课程标准,考查知识内容的范围、深度、广度,以及考查学科核心素养的水平要求均与课程标准保持一致。试卷注重考查学生基础知识、基本方法的熟练掌握、深刻理解和灵活应用,突出考查学科核心素养,积极引导教学依据课程标准,上足课时、不赶进度,不超标、不超量。
如第15题,严格按照课程标准中的内容要求,考查频率估计概率的思想方法,考查列联表和独立性检验的统计思想方法及应用。作为情境化应用题,阅读理解难度不大,计算比较简单,着重考查学生数学运算和数据处理等核心素养,以及应用所学知识分析、解决问题的能力。试题来源于教材,有很好的导向作用,引导教学要基于课标、用好教材,要准确把握高中数学课程目标与内容,聚焦学生对重要数学概念、定理、方法、思想的理解和应用,促进数学学科核心素养连续性和阶段性发展。
2.聚焦基础性考查。数学测试卷突出考查学生对主干知识的掌握程度,关注考生高中必备知识的完整性,全面检测考生运用高中数学基础知识、基本技能、基本思想、基本活动经验,分析、解决问题的意识与能力。试卷深化对基本概念、原理、方法的考查,要求学生不仅要理解高中课程中的概念和原理,还要运用它们解决问题,体现了“基础性”的考查要求。引导教学要重视基础内容,确保学生基础扎实,为今后学生的成长和发展奠定坚实基础。
如第9题,考查学生对课程的重要知识内容圆锥曲线与直线的位置、度量关系的理解,考查学生对抛物线几何定义与代数表示之间关系的掌握。试题立足基础性,考查知识的应用和数形结合的思想方法,引导数学教学要夯实基础。又如第16题,考查数列的递推公式、等比数列的概念、通项公式及数列的性质,这些内容都是数列部分的重要内容。试题考查主干知识,突出基础性,强调基础知识和基本方法的掌握和应用,着重考查学生的逻辑思维能力和运算求解能力,引导高中教学减少机械训练,聚焦必备知识的夯实和关键能力的培育。
3.彰显综合性考查。高中数学课程内容中的各个知识点处于一个整体知识网络之中,是相互联系的;高考评价体系中的考查内容之间也是紧密相连的,具有内在逻辑关系。数学测试卷注重考查基础知识内容之间、模块内容之间、学科内容之间的联系和综合,全面检测考生完整的知识体系和认知结构,明确引导高中数学教学要讲清讲透核心知识的内涵与外延,弄清不同知识之间的联系,引导学生通过多角度思考来加深对知识、概念的本质理解,做到触类旁通、融会贯通。
二、突出思维考查,服务人才选拔
1.优化试卷结构,强化思维考查。数学测试卷延续2024年全国高考数学新课标卷的做法,在题目排布上不固定顺序。试卷解答题的顺序和考查的知识内容与2024年新课标卷有较大差异,没有考查三角函数,概率与统计放在第15题考查,函数与导数放在第17题考查,把立体几何放在最后一题考查更是少见的,这种做法是为了破解固化的应试教育困局,引导高中数学教学走出猜题押题的误区,减少机械训练,把教学的重心放在培养学生数学思维过程和方法上,放在培养学生数学关键能力和核心素养上。
数学测试卷整体上充分兼顾考试时间、题量、计算量三者的关系,合理控制计算量,强化思维考查。如第17题,将指数函数与正、反比例函数简单结合,从多角度考查灵活运用导数工具研究函数性质的方法。试题既考查数形结合、分类与整合、化归与转化等思想方法,又考查学生的逻辑思维能力、运算求解能力。第(2)问要求学生先进行消元,再对参数b(或a)进行分类讨论,通过数形结合正确求解。试题层次分明,重点突出,对思维深度的要求逐步提高,考查了学生思维的严密性和深刻性。
2.创新试题设计,强调思维灵活。数学测试卷的整体结构与2024年新课标卷保持一致,在试题设计上力求创新,要求学生在深刻掌握和理解概念、原理、方法的基础上能够灵活变通。在减少题量、控制计算量的情况下,给予考生充足的思考时间,要求考生能够从多个角度进行思考、分析问题,能够灵活、综合应用知识和方法解决问题,着重考查思维的灵活性,充分发挥高考的选拔功能。
3.合理创设情境,体现创新能力考查。数学测试卷通过合理创设新颖的问题情境,考查学生独立思考、提出观点、推理论证的能力,考查学生敢于质疑和批判的思维能力,考查学生的数学创新思维能力和创新性意识,引导高中数学复习要淡化解题技巧、规避答题套路,注重培养学生良好的思维品质和创新意识。
如第10题,以人工智能研究领域人工神经网络中的一种运算模型激励函数为背景,创设了双曲正弦、余弦、正切函数的试题情境,考查了函数单调性的判断和恒等式的推理论证,要求考生根据自身已有知识、方法、经验去解决陌生情境中的新问题,考查了考生创新能力。试题设计的情境新颖,贴近生产与生活,具有很好的创新性,反映了课程改革的理念和精神。考生通过试题的作答,能充分体会到数学的应用价值,这对提高考生学习科学知识的兴趣和动力,以及培养学生思维创新都有着积极的引导作用。又如第11题,以三维拓扑学中的纽结为背景进行设计,打破了以往相对固化的试题模式,极具创新性。试题题干简洁,题意通俗易懂,把考查的重心放在空间想象能力上,要求学生具备良好的直观思维。试题着力于“反套路、反刷题”,引导中学教学破除题海战术、消除套路,重视培养学生的关键能力和学科素养。
总之,2025年数学测试卷延续2024年高考数学改革的整体思路,明确高考将继续根据数学学科特点,通过科学的试题设计,既让勤奋的学生有成就感,又让思维能力强的学生脱颖而出,发挥服务选才的功能。试卷坚持考查知识、能力、素养,进一步落实考教衔接,引导教学既要夯实学生的知识基础,又要重视培养学生的探索性、创新性思维品质,很好地发挥导向作用,助推教育改革持续深入。