一、等级赋分办法如何制定的?
认真学习领会教育部相关文件,借鉴已经启动高考综合改革省市的成功经验,结合我区实际,分析往年高考
二、选择性考试科目成绩如何呈现?
首选科目以原始分呈现,再选科目以等级分呈现。
三、为什么首选科目按照原始分计入高考总分?
根据《自治区人民政府关于印发宁夏回族自治区深化普通高等学校考试招生综合改革实施方案的通知》要求,我区新高考采用“3+1+2”模式,普通高等学校招生录取按物理、历史两个类别,分列计划、分开划线、分开投档录取。因此,选择物理(或历史)的考生将使用同一物理(或历史)试卷、考生群体相同,成绩具有可比性,可以使用原始成绩计入考生总成绩。所以首选科目按照原始分计入高考总分。
四、为什么思想政治、地理、
首选科目为物理(或历史)的考生可以在思想政治、地理、
五、等级赋分的规则及优点是什么?
以近年高考成绩

其中:Y1、Y2分别表示某等级原始分区间的下限和上限;Y表示某等级内某考生的原始分;
T1、T2分别表示相应等级赋分区间的下限和上限;T表示相应等级内某考生的等级分。
等级赋分的优点主要体现在四个方面。一是能够较好解决思想政治、地理、
六、等级赋分转换示例。
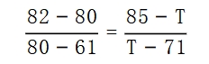
根据考生再选科目位次,确定其等级,再按照考生原始分数、等级分数在该等级原始成绩和赋分成绩区间比例相等的原则,计算考生等级分。
假设某考生思想政治科目合格性考试成绩达到合格,选择性考试科目原始分为80分。第一步,将该科目选择性考试原始分从高到低进行排序,按照规定的等级比例将该考生划定为B等级,该科目B等级的原始分分布区间为82~61;第二步,根据分数转换参数设置,将B等级内的该考生原始分,依照等比例转换法则,转换到85~71分数段。原始分所在区间的下限Y1为61分,上限Y2为82分。相应等级赋分区间的下限T1为71分,上限T2为85分。那么该生的等级分为:

解得,T≈84(四舍五入取整),即该考生思想政治科目等级分为84分。
高招云直播