根据《教育部关于普通高中学业水平考试的实施意见》(教基二〔2014〕10号)《自治区人民政府关于印发<宁夏回族自治区深化普通高等学校考试招生综合改革实施方案>的通知》(宁政规发〔2022〕3号)《自治区教育厅关于印发<宁夏回族自治区普通高中学业水平考试实施办法>的通知》(宁教基发〔2022〕159号)精神,结合我区实际,制定本办法。
一、考试科目与安排
(一)考试科目。选择性考试科目包括思想政治、历史、地理、物理、
(二)考试安排。选择性考试从2022年秋季入学的高一新生开始实施,2025年进行首次选择性考试,与全国统一高考同期进行,由自治区统一组织实施。二、成绩呈现及使用
(一)成绩呈现。选择性考试科目成绩以分数呈现,每门满分均为100分。其中,首选科目以原始分呈现,再选科目以原始分换算后的等级分呈现。
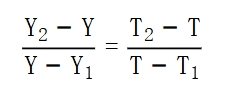
(二)成绩换算。思想政治、地理、

其中:Y1、Y2分别表示某等级原始分数区间的下限和上限;Y表示某等级内某考生的原始分;T1、T2分别表示相应等级赋分区间的下限和上限;T表示相应等级内某考生的等级分。考生原始成绩正好为原始分数区间上限或下限时,不需要按转换公式计算,相应赋分区间的上限或下限分数即为该考生的等级分。
(三)成绩使用。选择性考试科目成绩计入考生高考录取总成绩,作为高校招生录取的依据,仅高考当年有效。再选科目只公布考生的等级分,原始分、赋分转换过程等过程性信息不予公布。
三、其他事项考试组织管理按照教育部和宁夏回族自治区普通高校考试招生工作有关规定执行。各地、各级教育行政部门和各普通高中学校要进一步提高思想认识,加强宣传引导,做好释疑解惑,为普通高校考试招生制度综合改革的顺利推进营造良好的社会氛围。本办法自2024年3月1日起施行,有效期为两年。
附件:宁夏普通高中学业水平选择性考试科目等级赋分人数比例和赋分区间

高招云直播