提起苏南,人们一般首先想起来的就是苏州。因为她是典型的的苏南地区,有着发达的城乡经济,保持着自古至今的“天堂”形象。
然而,说到高等教育的话,除了苏州大学,人们并不了解苏州还有其他什么高校。这也难怪,苏州的公办本科院校才刚刚达到4所,并且“大学”只有2所。除了出名的苏州大学,就是今天我们要说的苏州科技大学。

苏州科技大学由原苏州城建环保学院与原苏州铁道师范学院合并组建而成,是一所以工为主、工理文管艺多学科协调发展的全日制普通高校,是教育部本科教学工作水平评估优秀高校。学校拥有石湖、江枫、天平三个校区,主校区石湖校区毗邻石湖水,坐拥上方山,环境优美,风景迤逦。校园占地面积2300亩。
学校拥有17个硕士学位授权一级学科,14个硕士专业学位授权类别。2个学科在全国第四轮学科评估中获评B档,“工程学”和“化学”学科跻身ESI前1%;6个学科入选省优势学科建设工程项目,6个学科入选“十四五”省重点学科。64个本科专业中,13个专业入选国家一流本科专业建设点;13个专业入选江苏高校品牌专业建设工程项目;8个专业通过高等教育专业评估、工程教育专业认证。
现有国家级大学生文化素质教育基地、国家级高校学生科技创业实习基地、国家级校外实践教育基地各1个,江苏省大学生创新创业实践教育中心1个。
现有包括国家地方联合工程研究中心、江苏省重点实验室、江苏省高校哲学社会科学重点研究基地等省级以上科研平台24个。近五年,共承担科研项目2000余项,其中国家科技重大专项、国家重点研发计划项目、国家“973”项目、“863”项目、国家自然科学基金(重点)项目、国家社会科学基金(重点)项目等国家级项目近260项;获省部级以上科技奖项40余项;学术论文被SCI等三大检索收录5100余篇,专利1100余项。
2021年度省级一流本科专业建设点:
金融工程、社会工作、工程力学、功能材料、电气工程及其自动化、建筑环境与能源应用工程、测绘工程、交通工程、美术学、工商管理
国家级一流本科专业建设点:
城乡规划、建筑学、环境工程、给排水科学与工程、土木工程、历史学、数学与应用数学、应用心理学、建筑电气与智能化、环境科学、风景园林、工程管理、视觉传达设计、电子信息工程、计算机科学与技术、应用物理学、环境设计、英语、音乐学
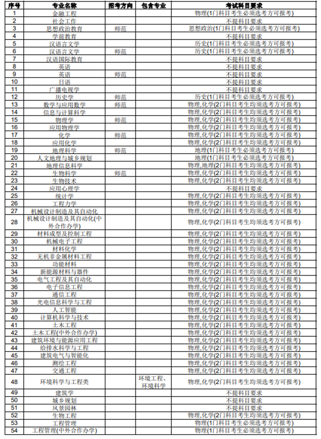
2024年拟招生本科专业选考科目要求:

