您当前的浏览器版本过低,请您升级浏览器
为了更好的使用优志愿产品,点击下载

谷歌浏览器

360极速浏览器

360安全浏览器

QQ浏览器

火狐浏览器

全国服务热线:400-181-5008
祝广大考生金榜题名
开通VIP

收藏

分享

《浙江省教育厅关于进一步做好学考选考工作的通知》解读

| 来源:浙江教育考试院 4674

500406493.jpg


  一、《学考实施办法》总体上是怎么考虑的?

  根据教育部高中学业水平考试相关要求和《浙江省人民政府关于进一步做好高考综合改革试点工作的通知》的精神,结合我省普通高中新课程新教材实施工作的意见,我省调整完善了高中学业水平考试(以下简称“学考”)方案,基本原则是贯彻“四个坚持”,即:坚持以习近平新时代中国特色社会主义思想为指导,落实立德树人根本任务,发展素质教育,推进教育公平,培养德智体美劳全面发展的社会主义建设者和接班人。坚持全面考核,引导学生认真学习每门课程,促进学生健康成长、全面发展。坚持全面深化课改方向,促进高中教育特色化多样化发展。坚持统筹兼顾,促进高中教学和高校人才培养的有效衔接。继续实行全省统一命题、统一考试、统一评定等级。

  二、学考科目如何安排?

  从2020年入学的高一学生开始,学考按年级定时定科统一安排,同一年级统一科目统一时间开考。各科目考试时间为:高一下学期考历史、地理、化学、生物学;高二上学期考物理、思想政治;高二下学期考语文、数学、技术;高三上学期考外语,此次外语成绩既用于评定学业水平等级又可用于高考。

  根据我省普通高中实施新课程新教材的相关要求,学考科目按照必修课程教学要求统筹安排,学完即考。一是严格控制并开科目。根据《国务院办公厅关于新时代推进普通高中育人方式改革的指导意见》精神,高一年级并开学考科目不得超过9门,高一考试科目不超过4门。二是保证学科教学的均衡性和延续性。定学期定科目定时间安排考试,有利于同一学科学考教学和选考教学的衔接。三是统筹学考和选考安排。各中学应按照国家和我省有关要求,合理组织必修课程教学,不过早结束新课,不长时间停课复习。

  三、学考各科目的卷面分值有什么变化?

  除语文、数学、外语保持不变以外,其余各科满分均由原先的70分变为100分。

  四、2019级和2020级学生是否分卷考试?

  2019级学生按原学考办法执行。

  考虑到考试办法、课程要求等变化,2019级和2020级学生的学考将实行分别命题、分卷考试、分别划等。

  五、学考不合格还有机会补考吗?

  普通高中在校生均须在规定时间参加相关科目的考试,每科考一次。如果某科目成绩不合格,可申请再次考试。相应科目学考合格方能报考同科目的选考。

  六、选考科目等级赋分的分差如何由3分改为1分?

  经多次专家研究、多方论证,将原赋分办法的21个等级划分为20个赋分区间,赋分分差由3分细化为1分。原先的第1(1%,100分)、第2(2%,97分)两个等级合并为1个赋分区间,其余不变。第1区间为100-97,第2区间为96-94,第3区间为93-91,以此类推,第20区间为42-40。

原等级

1

2

3

4

5

6

7

8

9

10

11

原等级赋分

100

97

94

91

88

85

82

79

76

73

70

人数比例(%)

1

2

3

4

5

6

7

8

7

7

7

现等级赋分

100-97

96-94

93-91

90-88

87-85

84-82

81-79

78-76

75-73

72-70

原等级

12

13

14

15

16

17

18

19

20

21

原等级赋分

67

64

61

58

55

52

49

46

43

40

人数比例(%)

7

7

7

6

5

4

3

2

1

1

现等级赋分

69-67

66-64

63-61

60-58

57-55

54-52

51-49

48-46

45-43

42-40

  具体步骤为:

  第一步,将卷面得分按人数比例划分为20个赋分区间,得出每个区间卷面得分的上限、下限。

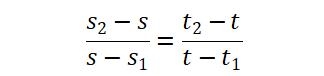
  第二步,对每个区间的卷面得分进行等比例转换,公式为:

22.jpg

  其中,s2、s1为卷面得分区间的上限和下限,s为待转换卷面得分;t2、t1为赋分区间的上限和下限,t为卷面得分等比例转换后的赋分。

  第三步,将转换结果四舍五入后即为等级赋分。

  举例说明:赋分区间为87-85,如对应的卷面得分区间为84-81,某考生的卷面得分为83,通过等比例转换:

11.jpg

  可以得出t=86.3,四舍五入取整后的等级赋分为86分。

  七、选考科目的保障基数是如何考虑的?

  根据《浙江省人民政府关于进一步深化高考综合改革试点的若干意见》和《浙江省普通高校招生选考科目考试实施办法》等有关规定,我省“率先建立物理选考科目保障机制,物理选考科目保障数量确定为6.5万人,当其他科目出现类似情况,参照物理办法建立并执行保障机制,具体办法由省教育行政部门负责制定实施”。物理保障机制启用后,对稳定预期、促进选课平衡起到了良好的作用。同时,各选考科目的保障基数实施一个统一的标准,也是保持各科目赋分规则一致、确保公平的需要。按照文件精神,综合各方面因素,现明确所有选考科目保障基数为6.5万人。

来源:浙江省教育考试院 《浙江省教育厅关于进一步做好学考选考工作的通知》解读


推荐阅读

这所大学是香料行业的黄埔军校,适合中等生!

这所带“电”的学院,就业好,适合中等生!

2021高考二轮复习策略及建议汇总

盘点政法类院校-法学界7所王牌高校

各地和高校春节留校师生关心关爱有关情况

双一流综合类院校本科生毕业就业对比分析

双一流农林类院校本科生毕业就业对比分析

2021年各地和高校春季开学有关安排

评论
说点什么吧
发布

手机扫一扫下载APP

400-181-5008

优志愿将竭力为您提供帮助

(免长话费 )

教APP备3100148号