您当前的浏览器版本过低,请您升级浏览器
为了更好的使用优志愿产品,点击下载

谷歌浏览器

360极速浏览器

360安全浏览器

QQ浏览器

火狐浏览器

全国服务热线:400-181-5008
祝广大考生金榜题名
开通VIP

收藏

分享

高考数学数列万能解题法归纳!

| 来源:网络 6172

  数列作为历年的重点考查内容之一,估测试题会出现在数列的知识、函数知识、不等式的知识和解析几何知识等的交汇点处命题,从而使数列试题呈现综合性强、立意新、角度新、难度大的特点。直白点说,高考的20多道题目中,无论是最基本的题型还是最后的解答压轴题,考到数列部分的几率是相当大的,毕竟数列作为每年高考热点元老的存在。

  在复习数列单元时,一定要以等差、等比数列为载体,以通项公式、求和公式为主线,注重基础,联系实际.通过对试题的练习,提高其运算能力、思辨能力、解决实际问题的能力,才能以不变应万变,在高考中立于不败之地。

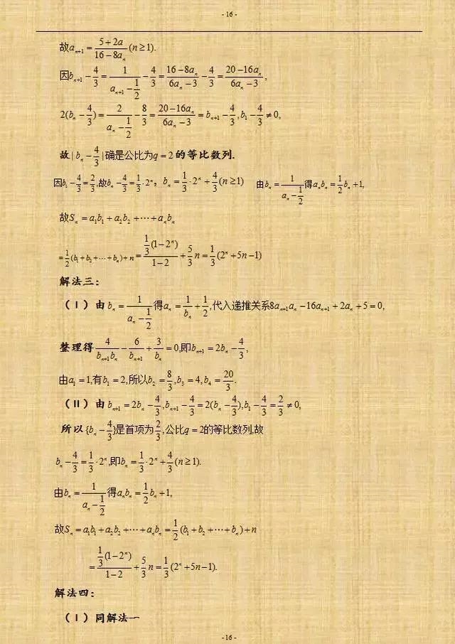
1.jpg2.jpg3.jpg4.jpg5.jpg6.jpg7.jpg8.jpg9.jpg10.jpg11.jpg12.jpg13.jpg14.jpg15.jpg16.jpg17.jpg18.jpg19.jpg20.jpg


推荐阅读

学好高中数学有哪些方法与技巧

高三数学成绩有哪些提高的技巧?

2020高考备考:如何打好“心理战”?

5所被称为“长安联盟”的高校,实力不错!

想要取胜高考,你必须具有这10个好习惯!

5G时代需求量最大的是4大工科专业

第四届中国高考规划行业联盟大会在沪圆满举办


评论
说点什么吧
发布

手机扫一扫下载APP

400-181-5008

优志愿将竭力为您提供帮助

(免长话费 )

教APP备3100148号