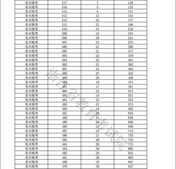
浙江省2019年普通高校招生艺术类第二批征求志愿考生综合分分段表
![]()
![]()
![]()
![]()
更多详情点击查看:
浙江省2019年普通高校招生艺术类第二批征求志愿考生综合分分段表.pdf
来源:(浙江省教育考试院)浙江省2019年普通高校招生艺术类第二批征求志愿考生综合分分段表
推荐阅读
浙江省2019年普通高校招生普通类三段线上考生总分成绩分段表
2019年浙江省普通高校招生普通类第三段平行志愿和艺术类第二批征求志愿填报通告
浙江省2019年普通高校招生艺术类第二批征求志愿考生综合分分段表
![]()
![]()
![]()
![]()
更多详情点击查看:
浙江省2019年普通高校招生艺术类第二批征求志愿考生综合分分段表.pdf
来源:(浙江省教育考试院)浙江省2019年普通高校招生艺术类第二批征求志愿考生综合分分段表
推荐阅读
浙江省2019年普通高校招生普通类三段线上考生总分成绩分段表
2019年浙江省普通高校招生普通类第三段平行志愿和艺术类第二批征求志愿填报通告
扫码下载APP
手机扫一扫下载APP