


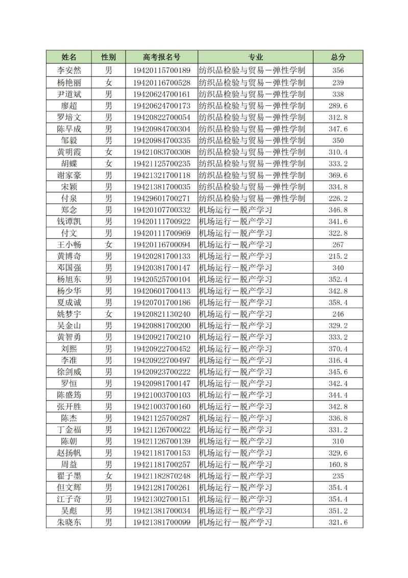
根据湖北省教育厅等七部门印发《2019年湖北省高职扩招专项工作方案》(鄂教职成〔2019〕2号)文件要求,按照武汉职业技术学院第二批高职扩招招生章程确定拟录取名单,现将拟录取名单予以公示,公示期为7天。公示期间内,考生若对公示的拟录取名单有异议,请拨打招生咨询电话:027-87766666。最终录取名单以省招办审核通过为准。
扫码下载APP
手机扫一扫下载APP