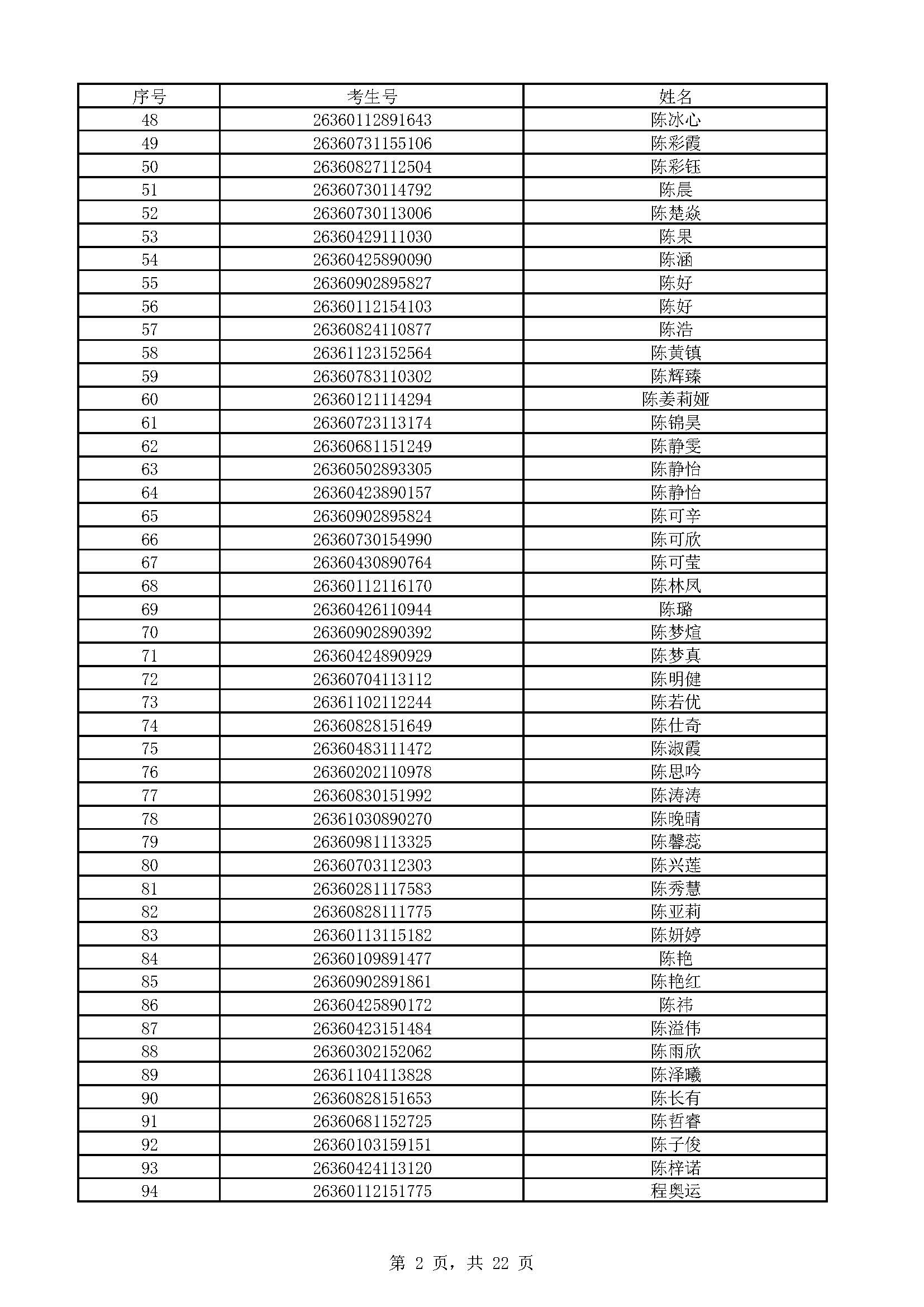
各位考生,江西传媒职业学院2026年单招录取已经结束,录取人数1000人,录取通知书将于5月中上旬统一寄出,现将录取名单公布。名单以姓名首字母(a-z)排序:






















各位考生,江西传媒职业学院2026年单招录取已经结束,录取人数1000人,录取通知书将于5月中上旬统一寄出,现将录取名单公布。名单以姓名首字母(a-z)排序:






















扫码下载APP
手机扫一扫下载APP