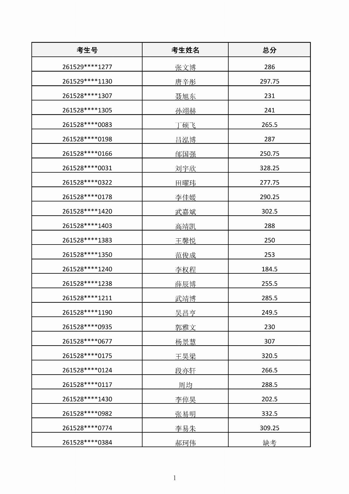
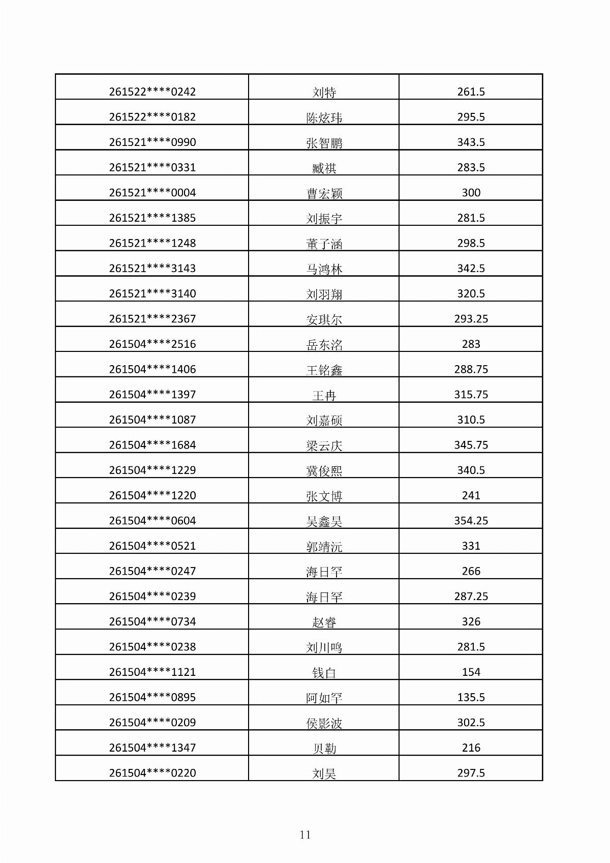
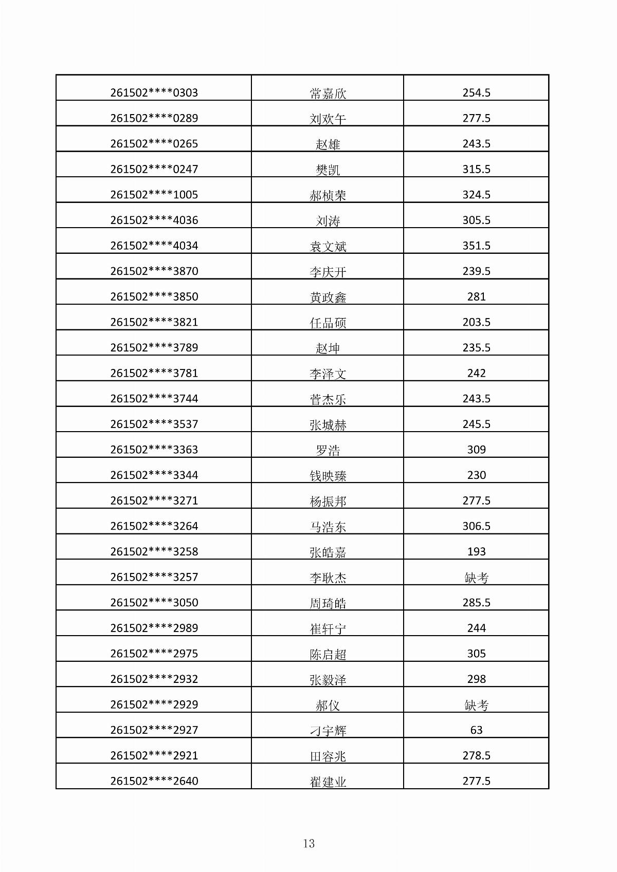
经学院招生工作委员会审定,现将内蒙古能源职业学院2026年第二次单招考试考生成绩予以公示。
公示时间2026年4月20日-4月24日;
如有异议可在公示期内拨打电话15049134888反映;
受理时间工作日每天上午8:30-11:30,下午14:40-17:30。
点击此处下载查询单招考试成绩公示


















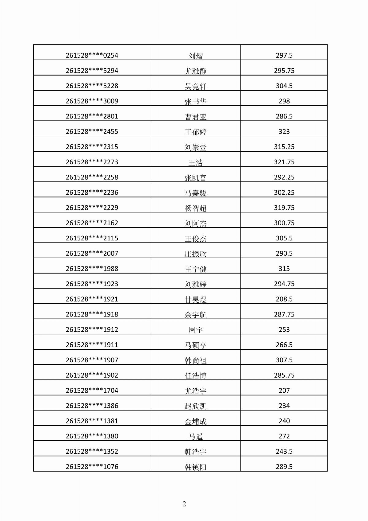
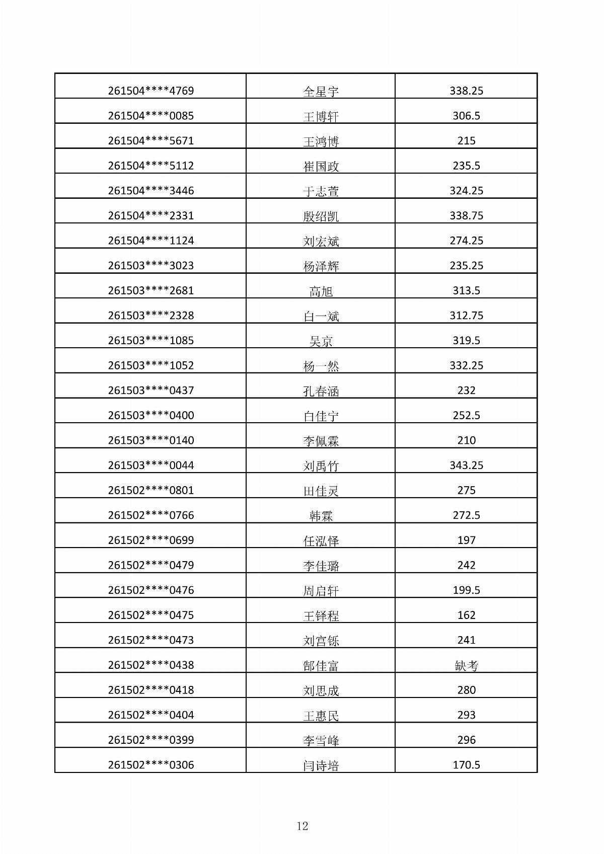
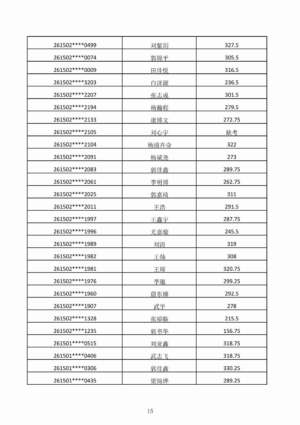
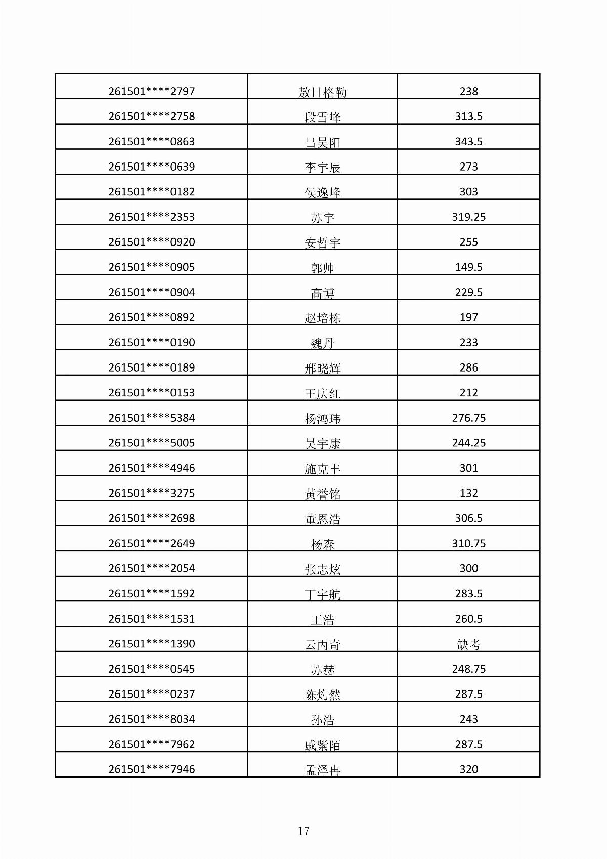
经学院招生工作委员会审定,现将内蒙古能源职业学院2026年第二次单招考试考生成绩予以公示。
公示时间2026年4月20日-4月24日;
如有异议可在公示期内拨打电话15049134888反映;
受理时间工作日每天上午8:30-11:30,下午14:40-17:30。
点击此处下载查询单招考试成绩公示


















扫码下载APP
手机扫一扫下载APP