长沙南方职业学院2026年单独招生考试第一志愿拟录取名单公示
根据湖南省教育厅《关于做好湖南省 2026 年高职(高专)院校单独招生工作的通知》(湘教发〔2026〕1号)和湖南省教育考试院《关于做好我省2026年高职院校单独招生工作具体事项的通知》(湘教考通〔2026〕1号)的工作要求,结合我校《长沙南方职业学院2026年高职单招章程》规定,我校2026年单独招生考试第一志愿拟录取名单已通过湖南省教育考试院核查,现将拟录取名单予以公示。公示期为2026年3月30日至2026年4月3日。已被我校单招录取的考生不能参加本年度统一高考和普通高校对口招生考试,不得转学。特殊情况需转专业的,须按照教育部、省教育厅和我校有关规定在本校当年单招专业范围内转换。若对录取名单有异议,请在公示期内以书面形式向学校招生处反映。
联系电话:0731-88120011
附:长沙南方职业学院2026年单独招生考试第一志愿拟录取名单
长沙南方职业学院
2026年3月30日
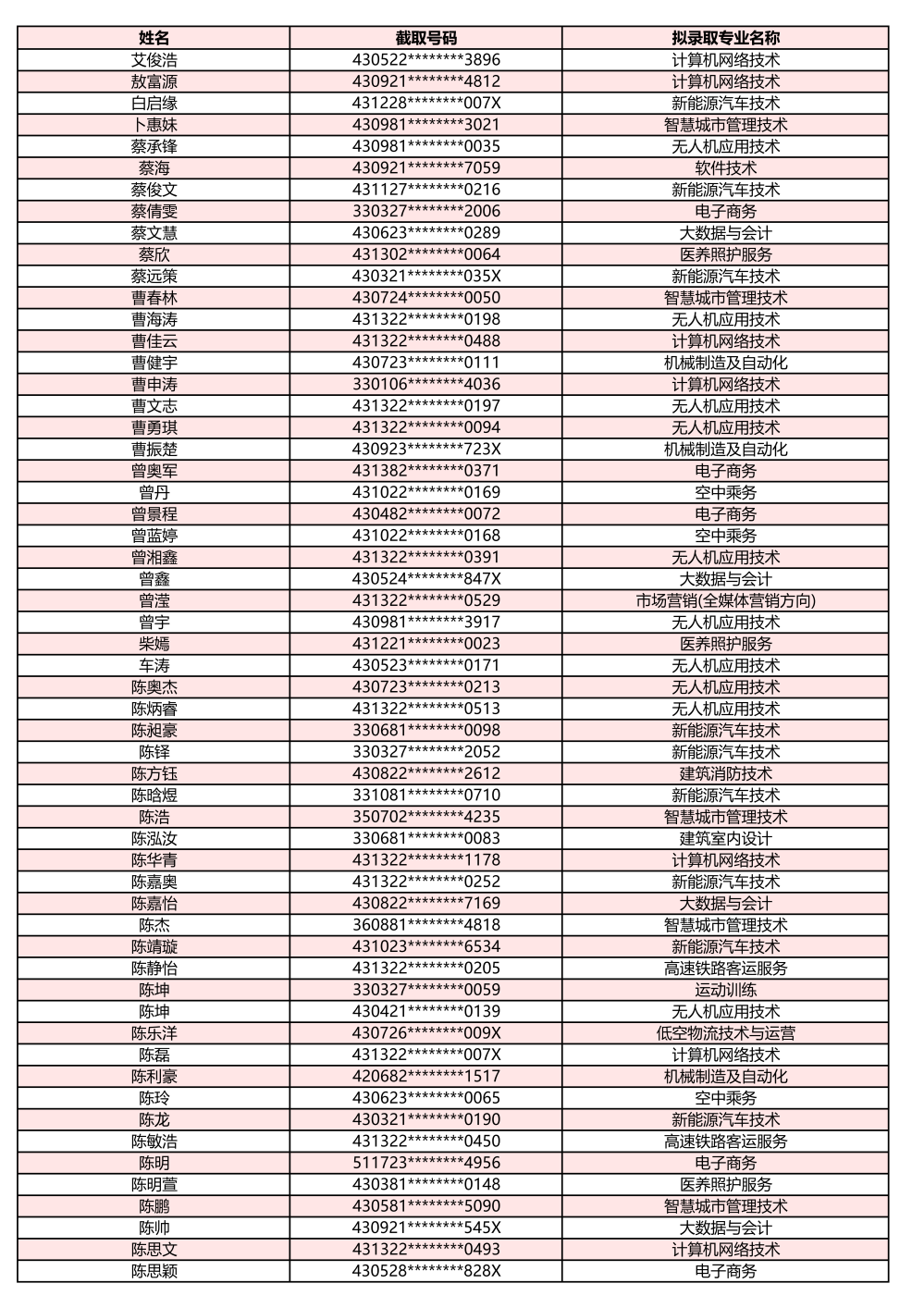
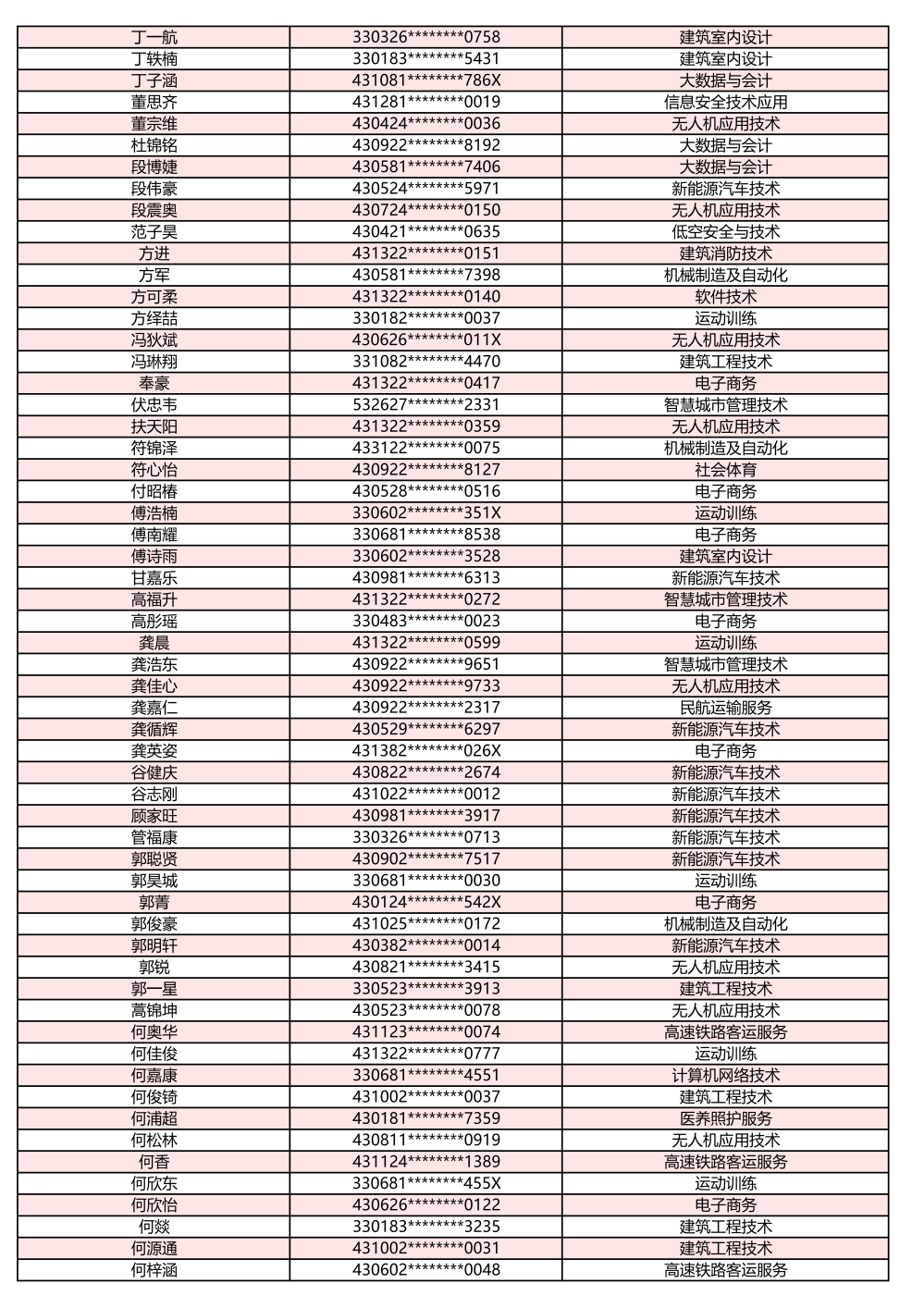
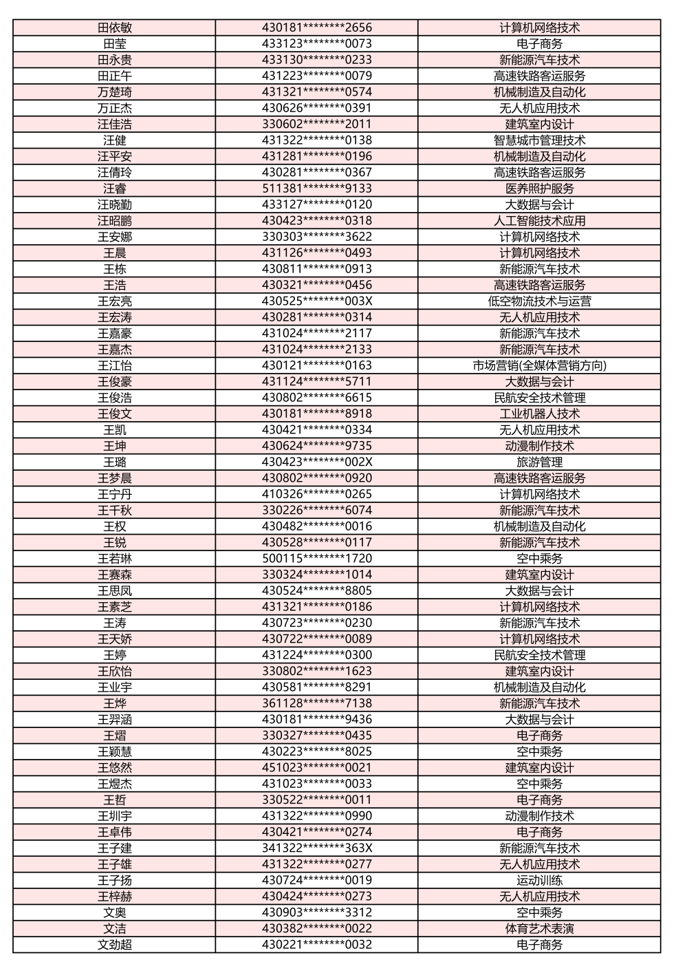
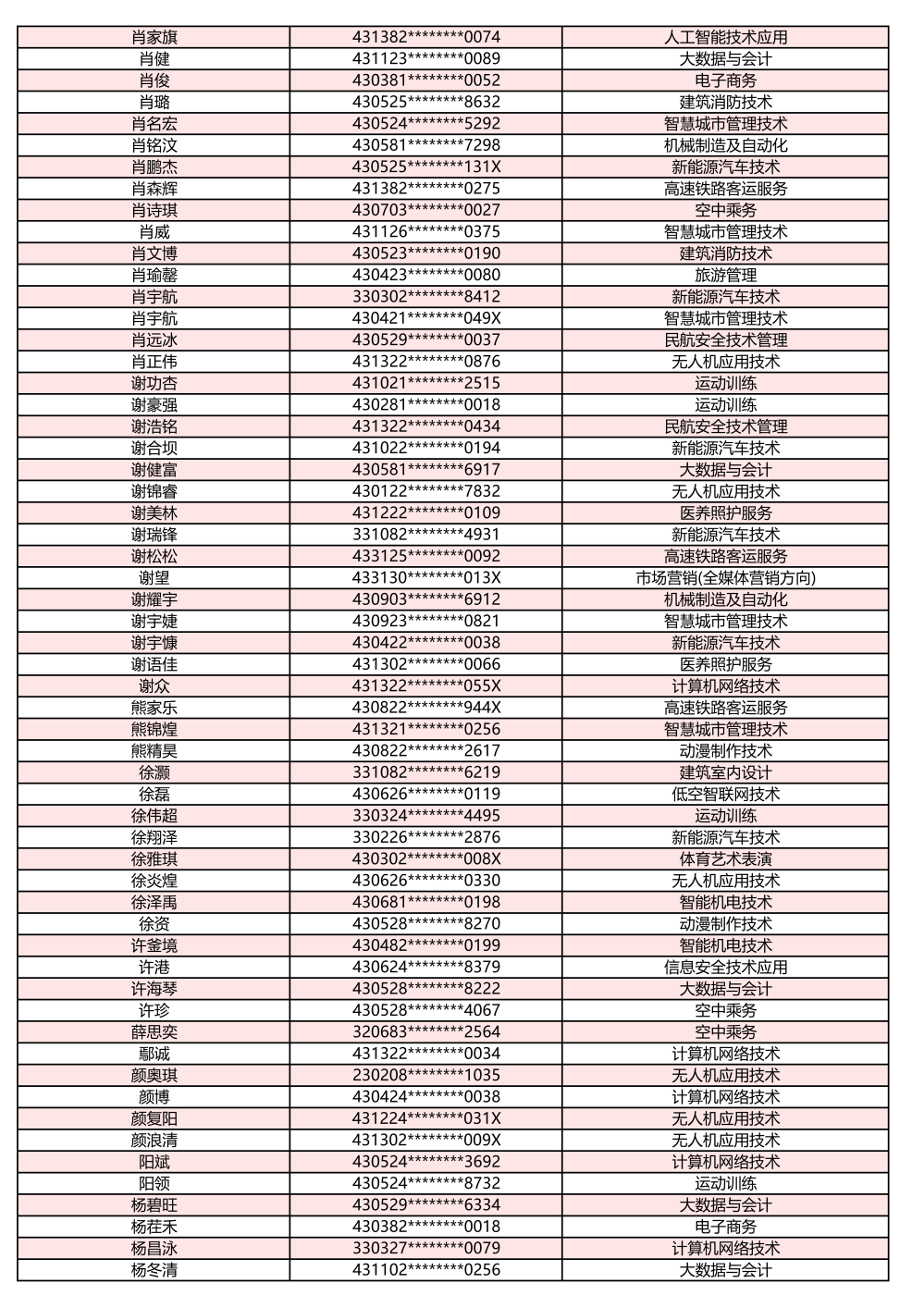
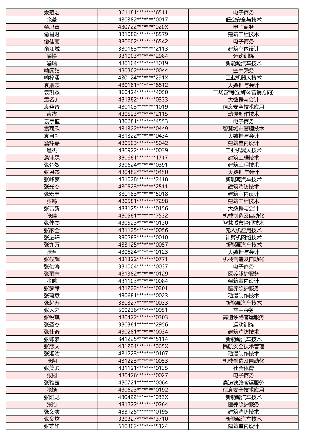
长沙南方职业学院2026年单独招生考试第一志愿拟录取公示名单(名单按考生姓氏排序)


















高招云直播