您当前的浏览器版本过低,请您升级浏览器
为了更好的使用优志愿产品,点击下载

谷歌浏览器

360极速浏览器

360安全浏览器

QQ浏览器

火狐浏览器

全国服务热线:400-181-5008
祝广大考生金榜题名
开通VIP

收藏

分享

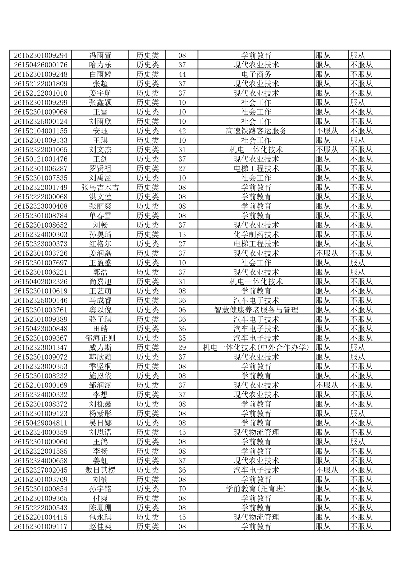
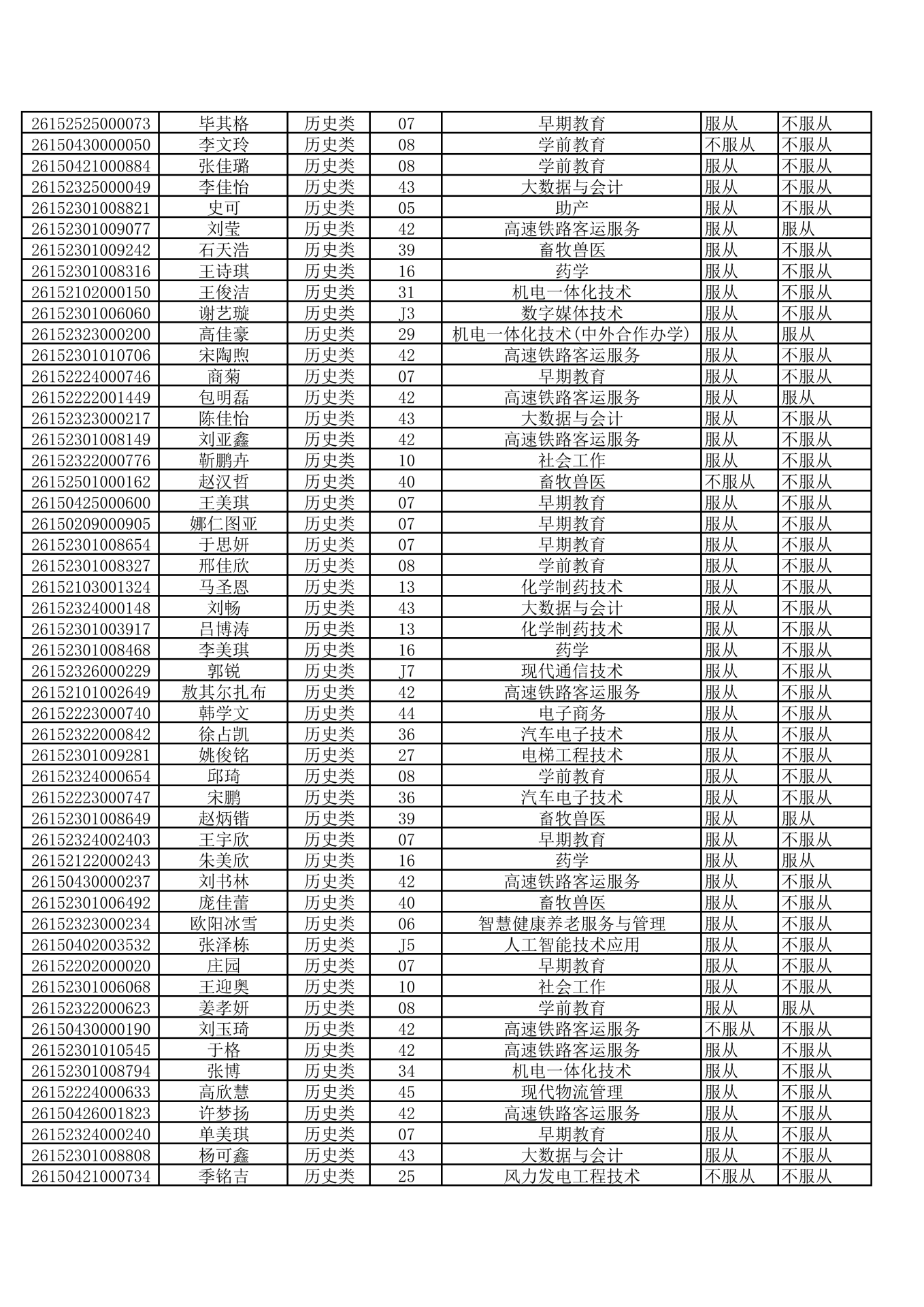
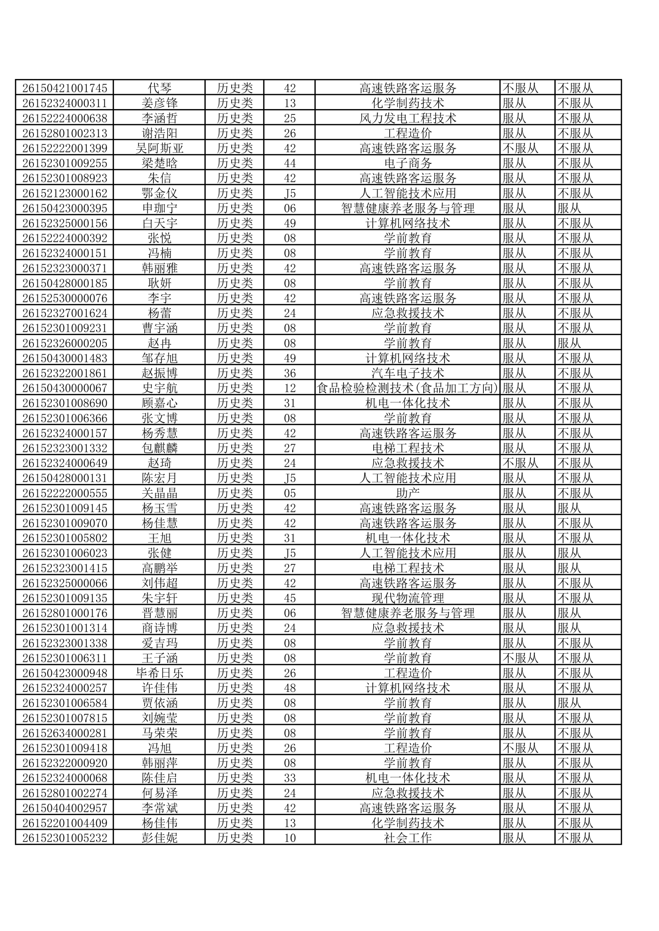
2026年通辽职业学院单独考试招生历史A类拟录取名单公示

| 来源:通辽职业学院 2341

拟录取名单公示为期5天,3月25-30日。如有异议,请拨打:0475-558、8888551。
最终录取结果以内蒙古招生考试信息网公示的为准。
评论
说点什么吧
发布

手机扫一扫下载APP

400-181-5008

优志愿将竭力为您提供帮助

(免长话费 )

教APP备3100148号