同学们:
首先,欢迎各位学子考入
为满足同学们高层次学习的个性化需求,建设“高端化、全球化、个性化”教育平台,实现“联合培养、名校读研”的人才培养模式,特推出“国际本硕联合培养”项目。
“国际本硕联合培养”项目包含:
·海外导师对接;
·导师服务与工作坊课程;
·海外大学申请服务;
·雅思教学及教材资料费;
·海外大学硕士项目咨询、择校及指导;
·海外大学申请服务;
·签证申请指导;
·学历认证指导;
·归国就业指导;
·技能证书
·4次雅思模拟考试+两次多邻国考试费用报销;
·奖学金政策(见文末)。
保证学生100%取得OFFER,助力学生申请到全球排名更好的世界名校攻读硕士。
扫描下方二维码缴费:

备注:


说明
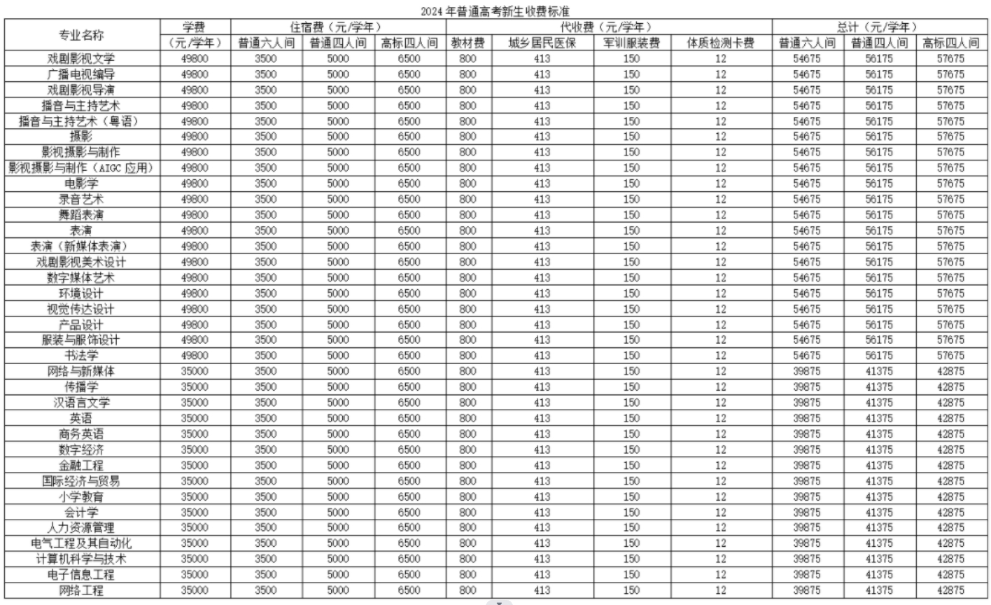
1、军训服装费(代收项目):按照教育部,政治工作部,军委国防动员部要求,大学生必须接受军训。军训服装费为150元/人/套。
2、教材费(代收项目):四年教材费用,预收800元/学年,多退少补。
3、体质检测卡费(代收项目):按教育部要求,新生入学时必须进行体检。体检费用为12元/学年。
4、城乡居民医保(代收项目):如已参保学生,开学统一退费。
缴费方式2024我校住宿分为三个规格,六人间(3500元/学年)、普通四人间(5000元/学年)、高标四人间(6500元/学年)。为了方便入住请第一时间办理宿舍费缴费手续。学费等其他费用以录取通知书上缴费通知为准。
扫描下方二维码,通过校付通选择宿舍:

我校2024年所有本科专业均设国内班(四年国内本科)和国际班(大一入校学生修读雅思及国外合作院校相关课程,四年国内毕业后去国外院校攻读硕士学位)方向,请学生大一入学前自主选择专业方向,扫描下方二维码,截止日期2024/08/15。

有其他疑问,欢迎咨询招生录检老师;招生电话:020-37980820。
预祝同学们在华珠学习、生活顺利。
2024/07/11
语言
雅思成绩达到6.5分(托福 79—93 分、
雅思成绩达到7分(托福 94-101 分、
雅思成绩达成7.5分及以上(托福 102 分及以上、
注:学生需出示雅思或其它官方成绩单原件,且通过学校获取QSTop150海外院校OFFER并成功入读,方可申请获得奖学金。
语言达标奖学金
设立语言达标奖学金,雅思达到5.5或成功入读海外院校,并提交语言官方成绩单原件、海外院校入学证明,奖励2500元/生。
为提高海外升硕毕业生培养质量,推动学生高质量出口,特设立三类高质量深造奖学金(可叠加)。
普通
高招云直播