民族大学作为国内民族高等教育的重要组成部分,几乎都具有独特的办学特色和重要的影响力。不同地区的民族类大学也都有不同地区的特色和优势,云南居住着几十个少数民族,形成了独具特色的民族文化特征。今天优志愿小编来给大家介绍一所地处云南的民族院校。
云南民族大学位于云南省昆明市,创建于1951年,是一所培养各民族高级专业人才的综合性大学,是教育部、国家民族事务委员会与云南省人民政府共建的省属重点大学。学校是中华人民共和国最早成立的民族高等院校之一,涵盖了文学、理学、工学、管理学等多个学科门类,致力于为社会培养出优秀的各民族人才。
学校受党和国家领导人的高度重视和亲切关怀,曾接见过多位国家领导人,师资力量更是强大出圈,大批学界名流,成为学校教学科研和学科建设发展的奠基人和中坚力量。拥有2个博士后科研流动站,2个一级学科博士点,17个一级学科硕士点,20个专业硕士点和76个本科专业,其中,20个国家级一流本科专业建设点,21个省级一流本科专业建设点,有41个专业进入“双万计划”一流本科专业建设点行列,13个省级重点学科和优势特色学科,形成了以民族学、社会学、民族语言文学、东南亚南亚语言文化为优势特色,文理并重、多学科协调发展的学科专业格局。
学校还是全国开办少数民族语言专业种类最多的学校,有藏语、傣语、傈僳语、拉祜语、景颇语、佤语、纳西语、彝语、哈尼语、壮语、苗语、白语等12个民族13个少数民族语种专业,已成为中国特别是西南各民族高层次、高素质人才培养的摇篮,研究民族问题和民族关系的重要基地,国家和云南对外开放的重要窗口。
云南民族大学与与云南多数高校一样,都是偏人文社会科学和理学,第四轮学科评估中,云南民族大学上榜的学科有4个;博士点分别是社会学和民族学,都是人文社会科学学科。作为云南地区唯一的民族类高校,以其跨越多元文化的教学理念而受到广泛关注,毕业生超半数被本省录用,受到省内外社会认可度好评。这样拥有民族特色的院校,24届考生可关注。
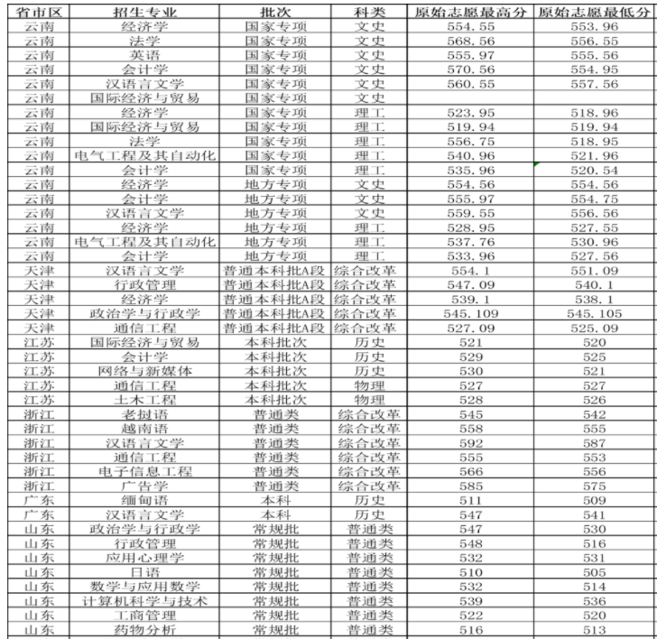
2023年云南民族大学部分专业录取分数线:
