各市、县(市、区)教育局:
根据《广西壮族自治区人民政府关于印发广西深化普通高等学校考试招生制度综合改革实施方案的通知》(桂政发〔2021〕24号)和《自治区教育厅关于印发〈广西普通高中学业水平考试实施办法〉的通知》(桂教规范〔2021〕17号)精神,结合我区实际,研究确定了我区普通高中学业水平选择性考试(以下简
称选择性考试)思想政治等4门考试科目成绩按等级转换分数计入普通高校招生录取总成绩方式。现将有关事项通知如下:
一、等级转换分数适用科目
等级转换分数适用于我区选择性考试的思想政治、地理、
二、等级转换规则
(一)等级划分。每门科目按照考生的原始分数从高到低划定为A、B、C、D、E五个等级,各等级人数所占比例分别为15%、35%、35%、13%和2%,将考生的原始分数转换成等级。转换基数为实际参加该科目考试并取得有效成绩的人数。
(二)分数转换。成绩转换时以30分作为赋分起点,满分为100分。将A至E五个等级内的考生原始分数,依照等比例转换方法,分别对应转换到100~86、85~71、70~56、55~41和40~30五个分数区间,得到考生的等级转换分数。等级转换分数计算结果按“四舍五入”进行处理,以整数呈现。等级转换分数一分一档,与原始分数排序保持不变。
1.转换对应表。

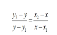
2.转换公式。

说明:、分别表示某等级原始分数区间的下限和上限;、分别表示相应等级的转换分数区间的下限和上限;表示考生的原始分数,表示转换后考生的等级转换分数。考生原始分数正好为原始分数区间上限或下限时,不需要按转换公式计算,相应的转换分数区间的上限或下限分数即为该考生的等级转换分数。
3.转换示例。
考生甲,思想政治科目原始分数为81分。第一步,假设当年该科目B等级的原始分数分布区间为82~61分,按照原始分数该生被划定为B等级;第二步,根据各等级的转换分数区间,将B等级内的考生原始分数,依照等比例转换方法,转换到85~71分数段,根据转换公式,该考生思想政治科目的转换分数为:≈84,即该考生思想政治科目等级转换分数为84分。如下:

转换示意图:

三、其他事项
(一)实施时间。本通知自2021年秋季入学的普通高中一年级学生开始实施,2024年首次组织实施选择性考试。
(二)工作要求。选择性考试思想政治等4门考试科目成绩实行等级转换分数方式,有利于解决不同选择性考试科目之间的可比性及总分的可加性问题,确保普通高校招生录取的科学性与公平性。各地、各级教育行政部门和各普通高中学校要进一步提高认识,统一思想,高度重视,正面宣传,为我区高考综合改革营造和谐的社会氛围。
文章来源:广西招生考试院 于普通高中学业水平选择性考试思想政治等4门考试科目成绩计入普通高校招生录取总成绩方式的通知
高招云直播